Because $(1+\frac{k}{n})\leq (1+\frac{1}{n})^k$ $$ {\sqrt[n]{(1+1/n)(1+2/n)...(1+n/n)}}\leq\sqrt[n]{(1+\frac{1}{n})^{n(n+1)/2}}=(1+\frac{1}{n})^{(n+1)/2}$$ and so $$\lim_{n\to \infty}{\sqrt[n]{(1+1/n)(1+2/n)...(1+n/n)}}<\sqrt{e}$$
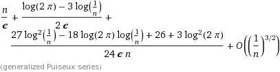
But what is the exact limit?
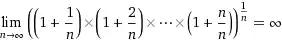
Added: I Gave this to Wolfram and the answer was $\infty$ ! but why?

