17

Given complex numbers $a=x+iy$, $b=m+in$ and a gamma function $\Gamma(z)$ with $x\gt0$ and $m\gt0$, it is conjectured that the following general continued fraction which is symmetric on $a$ and $b$ is true

$$\frac{\displaystyle\Gamma\left(\frac{a+3b}{4(a+b)}\right)\Gamma\left(\frac{3a+b}{4(a+b)}\right)}{\displaystyle\Gamma\left(\frac{3a+5b}{4(a+b)}\right)\Gamma\left(\frac{5a+3b}{4(a+b)}\right)}=\cfrac{4(a+b)}{a+b+\cfrac{(2a)(2b)} {3(a+b)+\cfrac{(3a+b)(a+3b)}{5(a+b)+\cfrac{(4a+2b)(2a+4b)}{7(a+b)+\ddots}}}}\tag{1}$$

And can be further generalised to

$$\frac{1}{\sqrt{c}}\tan\left(\frac{b-a}{b+a}\tan^{-1}\left(\frac{\sqrt{c}}{d}\right)\right)=\cfrac{(b-a)}{d(a+b)+\cfrac{c(2a)(2b)} {3d(a+b)+\cfrac{c(3a+b)(a+3b)}{5d(a+b)+\cfrac{c(4a+2b)(2a+4b)}{7d(a+b)+\ddots}}}}\tag{2}$$

Corollaries:

(i) Specializing to $a=1/2$ and $b=2z/n+1/2$,we obtain the continued fraction for $\tan\left(\frac{z\pi}{4z+2n}\right)$ found in this post after applying the functional equation of the gamma function

(ii) and specializing further to $a=-1/2$ and $b=2z/n+3/2$,we obtain immediately the continued fraction for $\cot\left(\frac{z\pi}{4z+2n}\right)$ found here after applying the functional equation of the gamma function.This continued fraction was proved by @GEdgar.

(iii) letting $2a=m-n$ and $2b=m+n$,we find $$\displaystyle\tan\left(\frac{\pi n}{4m}\right)=\cfrac{n}{m+\cfrac{m^2-n^2} {3m+\cfrac{4m^2-n^2}{5m+\cfrac{9m^2-n^2}{7m+\cfrac{16m^2-n^2}{9m+\ddots}}}}}$$

From which we obtain its hyperbolic companion $$\displaystyle\tanh\left(\frac{\pi n}{4m}\right)=\cfrac{n}{m+\cfrac{m^2+n^2} {3m+\cfrac{4m^2+n^2}{5m+\cfrac{9m^2+n^2}{7m+\cfrac{16m^2+n^2}{9m+\ddots}}}}}$$

(iv)and if $2a=-n$ and $2b=2m+n$,then it follows that

$$\displaystyle\tan\left(\frac{\pi(m+n)}{4m}\right)=\frac{1+\tan\Big(\frac{\pi n}{4m}\Big)}{1-\tan\Big(\frac{\pi n}{4m}\Big)}=\cfrac{m+n}{m+\cfrac{(-n)(2m+n)} {3m+\cfrac{(m-n)(3m+n)}{5m+\cfrac{(2m-n)(4m+n)}{7m+\cfrac{(3m-n)(5m+n)}{9m+\ddots}}}}}$$

Q: Is the conjectured general continued fraction true (for all complex numbers $a$,$b$ with $x\gt0$ and $m\gt0$)?

Nicco
  • 2,813

3 Answers3

6

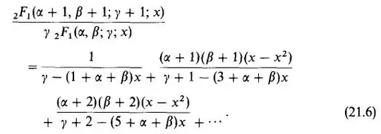
Continued fraction (2) can be simplified as $$ \tan\left(\alpha\tan^{-1}z\right)=\cfrac{\alpha z}{1+\cfrac{\frac{(1^2-\alpha^2)z^2}{1\cdot 3}} {1+\cfrac{\frac{(2^2-\alpha^2)z^2}{3\cdot 5}}{1+\cfrac{\frac{(3^2-\alpha^2)z^2}{5\cdot 7}}{1+\ddots}}}}\tag{2a} $$ This is a special case of the following continued fraction due to N$\ddot{\text{o}}$rlund (B.Berndt, Ramanujan's notebooks, vol.2)

enter image description here

To obtain (2a) from (21.6) set $\beta=-\alpha,\gamma=\frac{1}{2},\frac{x(1-x)}{(1/2-x)^2}=z^2$. Now one can apply the following formulas $$ \, _2F_1\left(a,-a;\frac{1}{2};x\right)=\cos \left(2 a \sin ^{-1}\left(\sqrt{x}\right)\right) $$ $$ -2a^2\, _2F_1\left(1+a,1-a;\frac{3}{2};x\right)=\frac{d}{dx}\left[\, _2F_1\left(a,-a;\frac{1}{2};x\right)\right] $$ $$ 2 \sin ^{-1}\left(\sqrt{x}\right)=\tan^{-1}\frac{\sqrt{x(1-x)}}{1/2-x} $$ to complete the proof.

2

SECTION 1.

I use the identity $$ \Gamma(z)\Gamma(1-z)=\pi \csc(\pi z)\textrm{, }z\in\textbf{C}-\textbf{Z} $$ to get $$ \Gamma\left(\frac{a+3b}{4(a+b)}\right)\Gamma\left(\frac{3a+b}{4(a+b)}\right)=\pi\csc\left(\pi\frac{a+3b}{4(a+b)}\right), \tag 1 $$ since $$ \frac{a+3b}{4(a+b)}+\frac{3a+b}{4(a+b)}=1. $$ Using the same argument and the relation $$ \Gamma(1+z)=z\Gamma(z)\textrm{, }Re(z)>0 $$ I can write $$ \Gamma(z)\Gamma(2-z)=(1-z)\Gamma(z)\Gamma(1-z), $$ and hence $$ \Gamma\left(\frac{3a+5b}{4(a+b)}\right)\Gamma\left(\frac{5a+3b}{4(a+b)}\right)=\left(1-\frac{3a+5b}{4(a+b)}\right)\pi\csc\left(\pi\frac{3a+5b}{4(a+b)}\right)= $$ $$ =\frac{a-b}{4(a+b)}\pi\csc\left(\pi\frac{3a+5b}{4(a+b)}\right)\tag 2 $$ Hence $$ \frac{\Gamma\left(\frac{a+3b}{4(a+b)}\right)\Gamma\left(\frac{3a+b}{4(a+b)}\right)}{\Gamma\left(\frac{3a+5b}{4(a+b)}\right)\Gamma\left(\frac{5a+3b}{4(a+b)}\right)}=\frac{4(a+b)}{a-b}\frac{\csc\left(\pi\frac{a+3b}{4(a+b)}\right)}{\csc\left(\pi\frac{3a+5b}{4(a+b)}\right)}=\frac{4(a+b)}{a-b}\frac{\sin\left(\pi\frac{3a+5b}{4(a+b)}\right)}{\sin\left(\pi\frac{a+3b}{4(a+b)}\right)}= $$ $$ =\frac{4(a+b)}{a-b}\frac{\sin\left(\pi\frac{3a+5b}{4(a+b)}\right)}{\sin\left(\pi\frac{a+3b}{4(a+b)}\right)}=4\frac{a+b}{a-b}\frac{\cos\left(\pi\frac{a+3b}{4(a+b)}\right)}{\sin\left(\pi\frac{a+3b}{4(a+b)}\right)}= $$ $$ =4\frac{a+b}{a-b}\cot\left(\pi\frac{a+3b}{4(a+b)}\right)=4\frac{a+b}{a-b}\cot\left(\pi\frac{a-b}{4(a+b)}\right)=4\frac{a+b}{a-b}\tan\left(\pi\frac{a-b}{4(a+b)}\right).\tag 3 $$ From the reason that $\frac{3a+5b}{4(a+b)}-\frac{a+3b}{4(a+b)}=\frac{1}{2}$ and $$ \cot\left(\pi\frac{a+3b}{4(a+b)}\right)=\tan\left(\frac{2(a+b)\pi}{4(a+b)}-\pi\frac{a+3b}{4(a+b)}\right). $$ The conditions are $$ \frac{a+3b}{4(a+b)}\textrm{, }\frac{3a+5b}{4(a+b)}\not\in\textbf{Z}\textrm{ and }Re\left(\frac{a-b}{a+b}\right)>0\tag 4 $$

NOTE 1.

The $n-$th convergent of the numerator of Gamma-function-involved cf can written as $$ \left((n+1)a+(n-1)b\right)\left((n-1)a+(n+1)b\right)=n^2(a+b)^2-(a-b)^2 $$

SECTION 2.

In this section we prove the generalization (second cf stated in the answer). Consequently from this cf and Section 1 we get the validity of the first stated cf (this with the Gamma-function).

The following expansion is at [1] p.566 $$ -1+\left(\frac{1+Az}{1+Bz}\right)^\alpha= $$ $$ \frac{2\alpha (A-B)z}{2+(A+B-\alpha (A-B))z-}\frac{(A-B)^2(1^2-\alpha^2)z^2}{3(2+(A+B)z)-}\frac{(A-B)^2(2^2-\alpha^2)z^2}{5(2+(A+B)z)-}\frac{(A-B)^2(3^2-\alpha^2)z^2}{7(2+(A+B)z)-\ldots} $$ for $$ \frac{2+(A+B)z}{(A-B)z}\in\textbf{C}-[-1,1].\tag 4 $$

Setting $$ A=\frac{-2+(a+b)(d-i\sqrt{c})}{2z}\textrm{, }B=\frac{-2+(a+b)(d+i\sqrt{c})}{2z}\textrm{ and } \alpha=\frac{b-a}{b+a} $$ we get $$ \frac{2\alpha(A-B)z}{\left(\frac{1+Az}{1+Bz}\right)^{\alpha}-1}-\left(2+(A+B-\alpha(A-B))z\right)=\ldots= $$ $$ =\frac{b-a}{c^{-1/2}\tan\left(\frac{b-a}{b+a}\arctan\left(\frac{\sqrt{c}}{d}\right)\right)}-d(a+b) $$ Since also $$ -(A-B)^2(n^2-\alpha^2)z^2=c\left((a+b)^2n^2-(a-b)^2\right) $$ and $$ 2+(A+B)z=d(a+b), $$ we get the proof for the generalization cf. The condition (4) then is $$ \frac{id}{\sqrt{c}}\in\textbf{C}-[-1,1]. $$ Observe that, the "generalization cf" for $c=d=1$ is always convergent and the convergent function is (easily): $$ 4\frac{a+b}{a-b}\tan\left(\pi\frac{a-b}{4(a+b)}\right) $$ Hence from Section 1 (relation (3)) we get the result with conditions (4).

[1]: Lisa Lorentzen, Haakon Waadeland."Continued Fractions with Applications" . North-Holland.,Amsterdam, London, New York, Tokyo. (1992).

1

If we consider the following symmetric q-continued fraction,where $q=ab$,$|q|\lt1$ see here and here

$$\cfrac{1}{1-ab+\cfrac{(ab)(1-b^2)(1-a^2)}{1-(ab)^3+\cfrac{(ab)^2(1-ab^3)(1-a^3b)}{1-(ab)^5+\cfrac{(ab)^3(1-a^2b^4)(1-a^4b^2)}{1-(ab)^7+\cfrac{(ab)^4(1-a^3b^5)(1-a^5b^3)}{1-(ab)^9+\ddots }}}}}=\frac{(a^5b^3;(ab)^4)_\infty\,(a^3b^5;(ab)^4)_\infty} {(ab^3;(ab)^4)_\infty\,(a^3b;(ab)^4)_\infty}$$

and let $a\rightarrow q^a$ ,$b\rightarrow q^b$ then we have

$$\cfrac{1}{1-q^{(a+b)}+\cfrac{q^{(a+b)}(1-q^{2b})(1-q^{2a})}{1-q^{3(a+b)}+\cfrac{q^{2(a+b)}(1-q^{(a+3b)})(1-q^{(b+3a)})}{1-q^{5(a+b)}+\cfrac{q^{3(a+b)}(1-q^{(2a+4b)})(1-q^{(2b+4a)})}{1-q^{7(a+b)}+\cfrac{q^{4(a+b)}(1-q^{(3a+5b)})(1-q^{(5a+3b)})}{1-q^{9(a+b)}+\ddots }}}}}=\frac{(q^{(5a+3b)};q^{4(a+b)})_\infty\,(q^{3a+5b};q^{4(a+b)})_\infty} {(q^{(a+3b)};q^{4(a+b)})_\infty\,(q^{(3a+b)};q^{4(a+b)})_\infty}$$

now after multiplying both sides by $1-q$ ,and performing equivalence transformation

$$\cfrac{1}{\frac{1-q^{(a+b)}}{1-q}+\cfrac{q^{(a+b)}\Big(\frac{1-q^{2b}}{1-q}\Big)\Big(\frac{1-q^{2a}}{1-q}\Big)}{\frac{1-q^{3(a+b)}}{1-q}+\cfrac{q^{2(a+b)}\Big(\frac{1-q^{(a+3b)}}{1-q}\Big)\Big(\frac{1-q^{(b+3a)}}{1-q}\Big)}{\frac{1-q^{5(a+b)}}{1-q}+\cfrac{q^{3(a+b)}\Big(\frac{1-q^{(2a+4b)}}{1-q}\Big)\Big(\frac{1-q^{(2b+4a)}}{1-q}\Big)}{\frac{1-q^{7(a+b)}}{1-q}+\cfrac{q^{4(a+b)}\Big(\frac{1-q^{(3a+5b)}}{1-q}\Big)\Big(\frac{1-q^{(5a+3b)}}{1-q}\Big)}{\frac{1-q^{9(a+b)}}{1-q}+\ddots }}}}}=(1-q)\frac{(q^{(5a+3b)};q^{4(a+b)})_\infty\,(q^{3a+5b};q^{4(a+b)})_\infty} {(q^{(a+3b)};q^{4(a+b)})_\infty\,(q^{(3a+b)};q^{4(a+b)})_\infty}$$

then apply the equality $\lim_{q\rightarrow 1}\frac{1-q^x}{1-q}=x$,see q-analog and the q-gamma function $\Gamma_q(x)=(1-q)^{1-x}\frac{(q;q)_{\infty}}{(q^x;q)_{\infty}}$

which concludes the proof of continued fraction (1)

Nicco
  • 2,813