6

I have a doubt in the proof of the Cauchy-Binet formula:

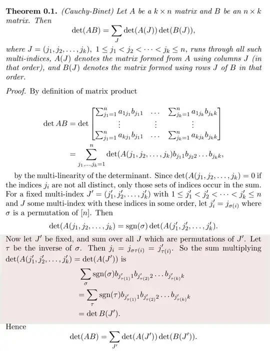
enter image description here

Question:

In the colored portion.

I dont know how the sum multiplying $det(A(J'))$ become $$\sum_\sigma sgn(\sigma) b_{j'_{\tau(1)}1} b_{j'_{\tau(2)}2}\ldots b_{j'_{\tau(k)}k}$$

Help me in that step.

Thanks in advance.

David
  • 4,201

2 Answers2

7

The key step that your probably missing is this one. The sum $$\sum_{j_1,j_2,...,j_k=1}^n\det(A(j_1,j_2,...,j_k))b_{j_1}b_{j_2}...b_{j_k}$$ is taken over all multi-indices, not just the ordered ones $j_1<j_2...<j_k$. So what the author is doing is decomposing the set of all muti-indices into those which are of the form $j_1<j_2...<j_k$ and the permutations of these. So we will fix any ordered multi-index in $J^{\prime}$, then sum over the permutations of this index and lastly sum the results over $J^{\prime}$.

So fix a multi-index $j^{\prime}_1<...<j^{\prime}_k$, and let $\sigma$ index the permutations of this index. We have $$\sum_{\sigma}\det(A(j_1,j_2,...,j_k))b_{j_1}b_{j_2}...b_{j_k}=\sum_{\sigma}sgn(\sigma)\det(A(j_1,j_2,...,j_k))sgn(\sigma)b_{j_1}b_{j_2}...b_{j_k}$$ Using the fact that $$sgn(\sigma)\det(A(j_1,j_2,...,j_k))=\det(A(j^{\prime}_1,j^{\prime}_2,...,j^{\prime}_k))$$ you are left with $$\sum_{\sigma}sgn(\sigma)\det(A(j_1,j_2,...,j_k))sgn(\sigma)b_{j_1}b_{j_2}...b_{j_k}=\det(A(j^{\prime}_1,j^{\prime}_2,...,j^{\prime}_k))\sum_{\sigma}sgn(\sigma)b_{j_1}b_{j_2}...b_{j_k}$$ Then use that $j_{i}=j^{\prime}_{\tau(i)}$ and your done.

By the way, if its any consolation, I think that this proof was written in a terribly confusing way myself.

0

[Here is a proof in the wiki page on Cauchy-Binet theorem]

Let ${ A \in \mathbb{F} ^{m \times n}, B \in \mathbb{F} ^{n \times m} }.$ Say ${ m \leq n }.$

We relate “characteristic polynomials” as ${ x ^n \det(xI _m + AB) = x ^m \det(xI _n + BA) }.$

Coefficient of ${ x ^n }$ in LHS is ${ \det(AB) }$ and in RHS is coefficient of ${ x ^{n-m} }$ in ${ \det(xI _n + BA) }.$
By coefficients of “characteristic polynomials”, coefficient of ${ x ^{n-m} }$ in ${ \det(x I _n + BA) }$ is ${ \sum _{\substack{I \subseteq [n] \\ \vert I \vert = m}} \det((BA) _{I,I}). }$
Hence $${ \begin{align*} \det(AB) &= \sum _{\substack{I \subseteq [n] \\ \vert I \vert = m}} \det((BA) _{I,I}) \\ &= \sum _{\substack{I \subseteq [n] \\ \vert I \vert = m}} \det(B _{I, [m]} A _{[m], I}) \\ &= \sum _{\substack{I \subseteq [n] \\ \vert I \vert = m}} \det(A _{[m], I}) \det(B _{I, [m]}) . \end{align*} }$$

If ${ m > n },$ we have ${ \det(AB) = 0 }$ (since ${ AB }$ is ${ m \times m },$ and ${ \text{colsp}(AB) \subseteq \text{colsp}(A) }$ and RHS has dimension atmost ${ n (< m) }$).