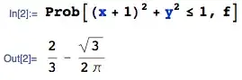
If you would put a rabbit randomly on a circular table with radius $r= 1$ meter and it moves $1$ meter in a random direction, what is the chance it won't fall off?
I tried to do this using integrals, but then I noticed you need a double integral or something and since I'm in the 5th form I don't know how that works.


