I am not sure how to do this, I know the PMF of rolling a dice is: $$ P(x)=\begin{cases} 1/6 &x\in\{1,2,3,4,5,6\}\\ 0& \text{Otherwise.} \end{cases} $$
3 Answers
Hint:
The mean can be found on base of:$$\mathbb E(Y)=\sum_{i=1}^6\mathbb E(Y\mid N=i)P(N=i)$$
- 151,093
You can use generating functions to see the pmf of the sum. The pmf, when you increase the number of addends, tends to be a normal shape, what is the content of the central limit theorem.
If you represent the sum $Y$ as a random variable composed of $N_i$ identical random variable and you apply the theorem about linearity of expectation
$$\Bbb E[Y]=\Bbb E(N_1 +N_2 + N_3+...)=\Bbb E[N_1]+\Bbb E[N_2]+\Bbb E[N_3]+...$$
- 30,417
-
what is the generating function ?do you mean the Probability generating Function (PGF) ? – user315934 Feb 19 '16 at 15:21
-
@user315934 I mean that you can use a generating function to build a function to extract the coefficients, i.e., to create the PMF. See here. – Masacroso Feb 19 '16 at 15:22
Comment:
This seems to 'a random sum of random numbers': $Y = \sum_{i=1}^N D_i,$ where $N$ is found by rolling a fair die and, independently the $D_i$ are also found by rolling fair dice. Then standard formulas are $E(Y) = E(N)E(D)$ and $V(Y) = E(N)V(D) + V(N)[E(D)]^2,$ which can be proved by conditioning methods as in another hint.
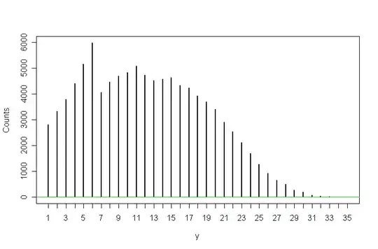
A simple simulation in R of 100,000 such sums gives the following numerical and graphical results, which you can compare with your analytic answer:
m = 10^5; y = numeric(m)
for (i in 1:m) {
n = sample(1:6, 1)
y[i] = sum(sample(1:6, n, repl=T)) }
mean(y); var(y)
## 12.23903 # approx E(Y) = 3.5(3.5) = 12.25
## 46.13508 # approx V(Y)
The simulated PDF is 'lumpier' than I guessed, but several runs of the simulation gave similar results.
- 51,500
