I'm trying to find an interpolating formula for a set of coefficients (I have $80$ at the moment).
I tried first to find an interpolating polynomial, but that was not useful: using the first $40$ coefficients only and extrapolate that formula to a guess for the other $40$ coefficients leads to catastrophic error.
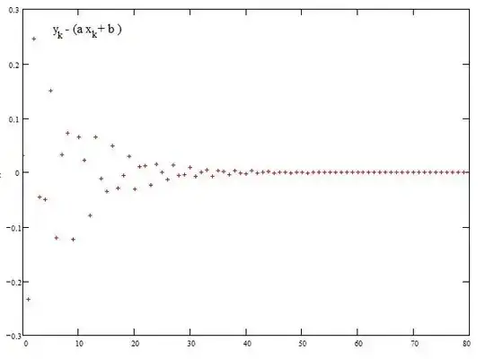
So I tried another path: first find a linear expression which interpolates as smooth as possible (simple linear regression). Then it seems, that the reciprocals of the residuals might be best approximated by a next step of linear regression - and after some manual guesses it seems, that it is again most appropriate to use again the reciprocals of the new residuals with a linear or a quadratic curve - and possibly so on.
The idea for a regression formula were thus the following with $2$ pairs of parameters where the coefficients are indicated by $y_k$ ,$N=40$ and $k=1..N$ : $$ \sum_{k=1}^N \left( {1 \over y_k -(a_0+a_1 k) } - (b_0+b_1 k) \right)^2 \overset{!}{=} min $$
Possibly this must then be continued by a next step, where again the reciprocals of the new residuals must be approximated by a quadratic regression, so in principle I look for some algorithm which will be mechanically extensible, but that's only the next step. So just for a start:
Q: What would be the formula to determine the four parameters?
See the requested data in a separate "answer" to keep the question better readable.
[update] P.s. : I've had similar problems casually in earlier problems (from my numbertheory fiddlings), and got in such cases stuck with some manual optimizations - so the principle of such a regression would serve me enough, please don't put too much effort in some extreme finetuning of the parameters on base of that 80 datapoints.
[update2] A bit more background to avoid misconceptions and to avoid frustration to someone willing to help. The data stem from a problem in number theory (see here in MSE) where I found a sequence of (infinitely many) points which seem to approximate to a linear or near linear decrease (linear with the index).
The problem is the following. Begin with the complex number $z_0=1$. Iterate $z_{k+1}=î ^ z_k$ (where $î$ is the imaginary unit) which process converges to a fixpoint $t$. Take the (euclidean) distance $d$ of each iterate $d_k = |z_k - t|$ . The given data $y_k$ are the $\log()$ of the $d_k$.
There is very likely no simpler function for that values available, but a functional approximation to the $y_k$ seems to be primarily linear with some unknown, diminuishing secondary distortion, again systematic.
A good approximation is enough for my purposes, but must be robust for extrapolation to infinitely many datapoints. I need not only one "practical" approximation but a method because the same problem with improving approximation to linearity occurs as well with the angular value $ \arg(z_k-t)$ for which I want then apply the same procedure.
Trying to find a working model using the ansatz of regression brought me to the above formula with four parameters (for a start) which I cannot expand/resolve for a formal solution.


