Am I right that here before using Holder's inequality we must prove that beta-function always converges for $x>0,y>0$. Right?
Asked
Active
Viewed 230 times
1
-
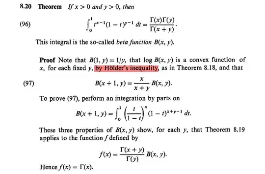
What was Theorem $8.18$ ? – Dietrich Burde Dec 21 '15 at 19:58
-
It was about that $\log \Gamma$ is convex. – Raheem Najib Dec 21 '15 at 20:00
1 Answers
1
Holder works even if the starting integral equals $\infty.$ But it's good see the integral converges here to hone your skills. All you need to verify is that the integrand is on the order of $t^{x-1}$ near $0$ and on the order of $(1-t)^{y-1}$ near $1.$ Since both exponents $x-1,y-1$ are greater than $-1,$ the singulaties (if there are any) at $0,1$ are integrable.
zhw.
- 105,693
