2

Integrate $\displaystyle \int \dfrac{1}{x^4+4}dx$.

I could try breaking this up into two quadratic trinomials, but that seems like it would be a lot of work. If that is the best way here how do I do it most efficiently?

Puzzled417
  • 6,956

5 Answers5

7

Notice $$\frac{1}{x^4+4} = \frac{1}{(x^2+2)^2 - 4x^2} = \frac{1}{(x^2+2x+2)(x^2-2x+2)}$$ Since $$\begin{align} \frac{1}{x^2-2x+2} - \frac{1}{x^2+2x+2} &= \frac{4x}{(x^2+2x+2)(x^2-2x+2)}\\ \frac{1}{x^2-2x+2} + \frac{1}{x^2+2x+2} &= \frac{2x^2+4}{(x^2+2x+2)(x^2-2x+2)} \end{align}$$ We have

$$\frac{1}{(x^2+2x+2)(x^2-2x+2)} = \frac14\left[\frac{1-\frac{x}{2}}{x^2-2x+2} + \frac{1+\frac{x}{2}}{x^2+2x+2}\right]\\ = \frac18\left[\frac{x+2}{x^2+2x+2} - \frac{x-2}{x^2-2x+2}\right] = \frac18\left[\frac{(x+1)+1}{(x+1)^2+1} - \frac{(x-1)-1}{(x-1)^2+1}\right] $$ Up to an integration constant, this give us $$\begin{align} \int\frac{dx}{x^4+1} &= \frac{1}{16}\log\left(\frac{(x+1)^2+1}{(x-1)^2+1}\right) + \frac18 \left[\tan^{-1}(x+1)+\tan^{-1}(x-1)\right]\\ &=\frac{1}{16}\log\left(\frac{(x+1)^2+1}{(x-1)^2+1}\right) + \frac18 \tan^{-1}\left(\frac{2x}{2-x^2}\right) \end{align} $$

achille hui
  • 122,701
4

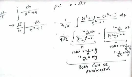
I did it like this. You can Complete it Easily after this.

Vaibhav
  • 273
4

If you really want to avoid partial fractions, you can do it this way:

Expand in Taylor series (convergent for $|x| < \sqrt{2}$): $$ \dfrac{1}{4+x^4} = \dfrac{1/4}{1 + x^4/4} = \sum_{n=0}^\infty \dfrac{(-1)^n}{4^{n+1}} x^{4n} $$ Integrate term-by-term $$ \int \dfrac{1}{4+x^4} = \sum_{n=0}^\infty \dfrac{(-1)^n}{4^{n+1}} \dfrac{x^{4n+1}}{4n+1} = \dfrac{x}{16} \text{LerchPhi}\left(-\dfrac{x^4}{4},1,\dfrac{1}{4}\right)$$ where $$ \text{LerchPhi}(z,a,v) = \sum_{n=0}^\infty \dfrac{z^n}{(n+v)^a}$$ Of course you might want to convert that LerchPhi expression to something more elementary...

Robert Israel
  • 448,999
1

HINT:

$$\int\frac{1}{x^4+4}\space\text{d}x=$$ $$\int\frac{1}{\left(x^2-2x+2\right)\left(x^2+2x+2\right)}\space\text{d}x=$$ $$\int\left(\frac{2-x}{8(x^2-2x+2)}+\frac{x+2}{8(x^2+2x+2)}\right)\space\text{d}x=$$ $$\frac{1}{8}\int\frac{2-x}{x^2-2x+2}\space\text{d}x+\frac{1}{8}\int\frac{x+2}{x^2+2x+2}\space\text{d}x=$$ $$\frac{1}{8}\int\frac{2-x}{x^2-2x+2}\space\text{d}x+\frac{1}{8}\int\left(\frac{2x+2}{2(x^2+2x+2)}+\frac{1}{x^2+2x+2}\right)\space\text{d}x=$$ $$\frac{1}{8}\int\frac{2-x}{x^2-2x+2}\space\text{d}x+\frac{1}{8}\int\frac{1}{x^2+2x+2}\space\text{d}x+\frac{1}{16}\int\frac{2x+2}{x^2+2x+2}\space\text{d}x=$$


For the integrand $\frac{2x+2}{x^2+2x+2}$, substitute $u=x^2+2x+2$ and $\text{d}u=(2x+2)\space\text{d}x$:


$$\frac{1}{8}\int\frac{2-x}{x^2-2x+2}\space\text{d}x+\frac{1}{8}\int\frac{1}{x^2+2x+2}\space\text{d}x+\frac{1}{16}\int\frac{1}{u}\space\text{d}u=$$ $$\frac{1}{8}\int\frac{2-x}{x^2-2x+2}\space\text{d}x+\frac{1}{8}\int\frac{1}{x^2+2x+2}\space\text{d}x+\frac{\ln\left|u\right|}{16}=$$ $$\frac{1}{8}\int\frac{2-x}{x^2-2x+2}\space\text{d}x+\frac{1}{8}\int\frac{1}{x^2+2x+2}\space\text{d}x+\frac{1}{16}\int\frac{1}{u}\space\text{d}u=$$ $$\frac{1}{8}\int\frac{2-x}{x^2-2x+2}\space\text{d}x+\frac{1}{8}\int\frac{1}{x^2+2x+2}\space\text{d}x+\frac{\ln\left|x^2+2x+2\right|}{16}=$$ $$\frac{1}{8}\int\frac{2-x}{x^2-2x+2}\space\text{d}x+\frac{1}{8}\int\frac{1}{(x+1)^2+1}\space\text{d}x+\frac{\ln\left|x^2+2x+2\right|}{16}=$$


For the integrand $\frac{1}{(x+1)^2+1}$, substitute $s=x+1$ and $\text{d}s=\text{d}x$:


$$\frac{1}{8}\int\frac{2-x}{x^2-2x+2}\space\text{d}x+\frac{1}{8}\int\frac{1}{s^2+1}\space\text{d}s+\frac{\ln\left|x^2+2x+2\right|}{16}=$$ $$\frac{1}{8}\int\frac{2-x}{x^2-2x+2}\space\text{d}x+\frac{\arctan\left(s\right)}{8}+\frac{\ln\left|x^2+2x+2\right|}{16}=$$ $$\frac{1}{8}\int\frac{2-x}{x^2-2x+2}\space\text{d}x+\frac{\arctan\left(x+1\right)}{8}+\frac{\ln\left|x^2+2x+2\right|}{16}$$

Jan Eerland
  • 28,671
1

Question: Evaluate $$\int \frac{1}{x^4 + 4}$$

Solution(A bit long winded but uses elementary techniques):

First, notice that $$\frac{1}{\left( x^2 - 2x + 2 \right) \left( x^2 + 2x + 2 \right)} = \frac{Ax + B}{x^2 - 2x + 2} + \frac{Cx + d}{x^2 + 2x + 2}$$ Breaking this up we have \begin{align} 1 &= \left( x^2 + 2x + 2 \right) \left( Ax + B \right) + \left( x^2 -2x + 2 \right) \left( Cx + d \right) \\ &= Ax^3 - 2Ax^2 + 2Ax + Bx^2 - 2Bx + 2B + Cx^3 + 2Cx^2 + 2Cx + Dx^2 + 2Dx + 2D \\ &= \left(A + C \right)x^3 + \left( B + 2C + D - 2A \right)x^2 + \left( 2A - 2B + 2C + 2D \right)x^1 + \left( 2B + 2D \right)x^0 \end{align}

We can compare coefficients to produce $4$ equations.

\begin{align} A + C = 0 \tag{1}\label{eq1} \\ B + 2C + D - 2A = 0 \tag{2}\label{eq2} \\ 2A - 2B + 2C + 2D = 0 \tag{3}\label{eq3} \\ 2B + 2D = 1 \tag{4}\label{eq4} \end{align}

Solving this system we find that $A = -\frac{1}{8}, B = \frac{1}{4}, C = \frac{1}{8}, D = \frac{1}{4}$

Therefore, $$\frac{1}{\left( x^2 - 2x + 2 \right) \left( x^2 + 2x + 2 \right)} = \frac{- \frac{1}{8}x + \frac{1}{4}}{\left(x - 1 \right)^2 + 1} + \frac{\frac{1}{8}x + \frac{1}{4}}{\left( x + 1 \right)^2 + 1}$$ and so $$\int \frac{1}{x^4 + 4} = \int \frac{- \frac{1}{8}x + \frac{1}{4}}{\left(x - 1 \right)^2 + 1} + \int \frac{\frac{1}{8}x + \frac{1}{4}}{\left( x + 1 \right)^2 + 1}$$

We can Say that $$\int \frac{1}{x^4 + 4} \, dx = I_1 + I_2$$ Where $$I_1 = \int \frac{- \frac{1}{8}x + \frac{1}{4}}{\left(x - 1 \right)^2 + 1} \quad \textrm{and} \quad I_2 = \int \frac{\frac{1}{8}x + \frac{1}{4}}{\left( x + 1 \right)^2 + 1}$$


Finding $I_1$.

$$I_1 = \int \frac{-\frac{1}{8}x + \frac{1}{4}}{\left( x - 1 \right)^2 + 1}$$ let $u = x - 1$. Therefore, $$\int \frac{-\frac{1}{8}\left( u + 1 \right) + \frac{1}{4}}{u^2 + 1} = \int \frac{- \frac{1}{8}u + \frac{1}{8}}{u^2 + 1} = \int \frac{- \frac{1}{8}u}{u^2 + 1} + \int \frac{\frac{1}{8}}{u^2 + 1} = -\frac{1}{8} \int \frac{u}{u^2 + 1} + \frac{1}{8} \int \frac{1}{u^2 + 1}$$

By the reverse chain rule and using the standard integral for $\arctan$ we have $$\boxed{I_1 = -\frac{1}{16} \ln \left( u^2 + 1 \right) + \frac{1}{8} \arctan \left(u \right)}$$


Finding $I_2$.

$$I_2 = \int \frac{\frac{1}{8}x + \frac{1}{4}}{\left( x + 1 \right)^2 + 1}$$

Let $v = x + 1$. Therefore, $$\int \frac{\frac{1}{8}\left( v - 1 \right) + \frac{1}{4}}{v^2 + 1} = \int \frac{ \frac{1}{8}v + \frac{1}{8}}{v^2 + 1} = \int \frac{\frac{1}{8}v}{v^2 + 1} + \int \frac{\frac{1}{8}}{v^2 + 1} = \frac{1}{8} \int \frac{v}{v^2 + 1} + \frac{1}{8} \int \frac{1}{v^2 + 1}$$ By the reverse chain rule and using the standard integral for $\arctan$ we have $$\boxed{I_2 = \frac{1}{16} \ln \left( v^2 + 1 \right) + \frac{1}{8} \arctan \left(v \right)}$$


Since $$\int \frac{1}{x^4 + 4} = I_1 + I_2$$ we finally have $$\boxed{\int \frac{1}{x^4 + 4} = -\frac{1}{16} \ln \left( (x - 1)^2 + 1 \right) + \frac{1}{8} \arctan \left( x -1 \right) + \frac{1}{16} \ln \left( (x + 1)^2 + 1 \right) + \frac{1}{8} \arctan \left( x + 1 \right)}$$

Once again, I know this isn't the best answer, but it seemed fun to utilise so many concepts to solve one question.

Bumblebee
  • 1,209