This is from Grimmett and Stirzaker, Chapter 1, page 7.
Lemma. Let $A_{1},A_{2},...$ be an increasing sequence of events, so that $A_{1}\subseteq{A_{2}}\subseteq{A_{3}}\subseteq{...}$, and write A for their limit:
$A=\bigcup\limits_{i=1}^{\infty}{A_{i}}=\lim_{i\to\infty}{A_{i}}$
Then, $P(A)=\lim_{i\to\infty}{P(A_{i})}$
Proof.
$A={A_{1}}\cup({A_{2}-A_{1}})\cup({A_{3}-A_{2}})\cup{...}$ is a disjoint union of sets. Thus, by definition,
$P(A) = P({A_{1}})+\sum_{i=1}^{\infty}P({A_{i+1}}\setminus{A_{i}})$
$P(A) = P({A_{1}})+\lim_{n\to\infty}\sum_{i=1}^{n-1}(P({A_{i+1}})-P({A_{i}}))$
$P(A)=\lim_{n\to\infty}{P(A_{n})}$
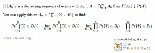
Whilst I understand the math behind the proof, what are we trying to prove here. Why would be interested in such an increase sequence of events? What good is this result?





