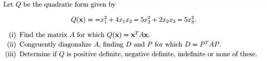
For part i), my answer was $\begin{bmatrix}-1 & 2 & 0 \\ 2 & 5 & 1 \\0 & 1 & -5\end{bmatrix}$
But for part ii), when I try to calculate $\det(A-λI)=0$, it comes down to $-λ^3 -λ^2+29λ+45 =0$, which doesn't have a neat solution. I'm sure I've done something wrong here.

for some theoretical details about this method, you check this post: http://math.stackexchange.com/questions/1388421/reference-for-linear-algebra-books-that-teach-reverse-hermite-method-for-symmetr
– etothepitimesi Oct 22 '15 at 00:56