2

This is a problem and solution from Spivak's Calculus. I'm trying to fill in the details of the final paragraph in the solution, to prove the conclusion in problem (c).

Problem:

$\rm(b)$ Suppose that $\{b_n\}$ is nonincreasing, with $b_n\geq0$ for each $n$, and that $$m\leq a_1+\cdots+a_n\leq M$$ for all $n$. Prove Abel's Lemma: $$b_1m\leq a_1b_1+\cdots+a_nb_n\leq b_1M.$$ (And, moreover, $$b_km\leq a_kb_k+\cdots+a_nb_n\leq b_kM,$$ a formula which only looks more general, but really isn't.)
$\rm(c)$ Let $f$ be integrable on $[a,b]$ and let $\phi$ be nonincreasing on $[a,b]$ with $\phi(b)=0$. Let $P=\{t_0,\ldots,t_n\}$ be a partition of $[a,b]$. Show that the sum $$\sum_{i=1}^n f(t_{i-1})\phi(t_{i-1})(t_i-t_{i-1})$$ lies between the smallest and the largest of the sums $$\phi(a)\sum_{i=1}^k f(t_{i-1})(t_i-t_{i-1}).$$ Conclude that $$\int_a^b f(x)\phi(x)\,dx$$ lies between the minimum and the maximum of $$\phi(a)\int_a ^xf(t)\,dt,$$ and that it therefore equals $\phi(a)\displaystyle\int_a^\xi f(t)\,dt$ for some $\xi$ in $[a,b]$.

Solution:

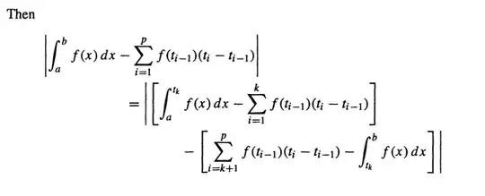
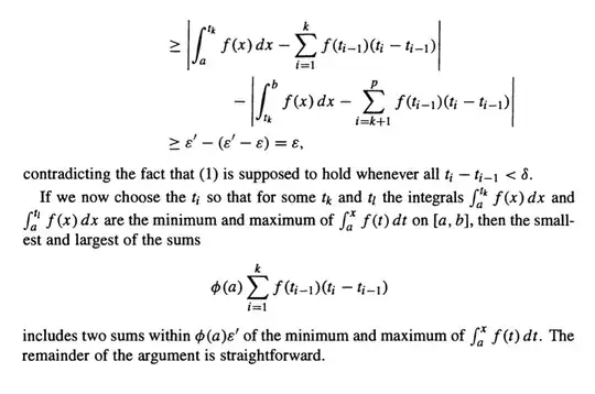
$(\rm c)$ If we set $$a_i=f(x_i)(t_i-t_{i-1})$$ and let $$\begin{align}m&=\text{smallest of the }\sum_{i=1}^k f(x_i)(t_i-t_{i-1})\\M&=\text{largest of the }\sum_{i=1}^k f(x_i)(t_i-t_{i-1})\end{align}$$ then $m\leq a_1+\cdots+a_k\leq M$ for all $k$. Letting $b_k=\phi(x_k)$ in part $\rm(b)$, we find that $$\sum_{i=1} ^n f(x_i)\phi(x_i)(t_i-t_{i-1})$$ lies between the smallest and the largest of the sums $$\phi(x_1)\sum_{i=1}^k f(x_i)(t_i-t_{i-1}).$$ $\,\,\,$ Since we can approximate $\int_a^b f(x_i)\phi(x)\,dx$ by sums $\sum\limits_{i=1}^n f(x_i)\phi(x_i)(t_i-t_{i-1}),$ and $\int_a^x f(t)\,dt$ by sums like $\sum\limits_{i=1}^k f(x_i)(t_i-t_{i-1})$, the final result should follow from the above. However, some care is required for the argument: $\,\,\,$ Given $\varepsilon>0$ we can choose $\delta>0$ so that whenever all $t_i-t_{i-1}<\delta$ we have $$\tag{1}\left|\int_a^b f(x)\,dx-\sum_{i=1}^n f(t_{i-1})(t_i-t_{i-1})\right|<\varepsilon$$ We claim that for any $\varepsilon'>\epsilon$ it also follow that for each $k$ $$\left|\int_a^{t_k}f(x)\,dx-\sum_{i=1}^k f(t_{i-1})(t_i-t_{i-1})\right|<\varepsilon'.$$ The idea is that if we had $$\tag{2}\left|\int_a^{t_k}f(x)\,dx-\sum_{i=1}^k f(t_{i-1})(t_i-t_{i-1})\right|\geq\varepsilon',$$ then by choosing some $p>n$ and new $t_{k+1}<t_{k+2}<\cdots<t_p=b$ we could make the sums on $[t_k,b]$ so close to $\int_{t_k}^b f(x)\, dx$ that inequality $(2)$ would contradict $(1)$. More precisely, choose $t_{k+1},\ldots, t_p$, still with $t_i-t_{i-1}<\delta$, so that $$\tag{3}\left|\int_{t_k}^bf(x)\,dx-\sum_{i=k+1}^p f(t_{i-1})(t_i-t_{i-1})\right|<\varepsilon'-\varepsilon>0.$$

enter image description here

enter image description here

My work:

Let $F(x)=\int_a^x f(t)dt$ on $[a,b]$, then since $F$ is continuous on $[a,b]$, it attains its minimum and maximum on some $t_k$ and $t_l$.

Now given any $\epsilon \gt 0$, there is some $\delta \gt 0$ such that for any partition with mesh less than $\delta$, we have

$|\int_a^b f(x)dx-\sum_{i=1}^n f(t_{i-1})(t_i-t_{i-1})|\lt \epsilon.$

Then by the claim after (1) in the solution, we have

$|\int_a^{t_k} f(x)dx- \sum_{i=1}^k f(t_{i-1})(t_i-t_{i-1})|\le \epsilon.$ for any $k\in \{1,\cdots, n\}$.

Hence for a given partition with mesh less than $\delta$ having the specified $t_k$ and $t_l$ as endpoints, we get

$|\phi(a)\int_a^{t_k} f(x)dx- \phi(a)\sum_{i=1}^k f(t_{i-1})(t_i-t_{i-1})|\le \phi(a)\epsilon.$

and

$|\phi(a)\int_a^{t_l} f(x)dx- \phi(a)\sum_{i=1}^l f(t_{i-1})(t_i-t_{i-1})|\le \phi(a)\epsilon.$

Clearly, $\phi(a)\int_a^{t_k} f(x)dx$ and $\phi(a)\int_a^{t_l} f(x)dx$ are the minimum and maximum of $\phi(a)\int_a^x f(t)dt$ for $x\in [a,b]$.

Now this is where my solution has hit a problem. Assume that the smallest and largest of the sums $\phi(a)\sum_{i=1}^k f(t_{i-1})(t_i-t_{i-1})$ for $k \in \{1, \dots, n\}$, are $\phi(a)\sum_{i=1}^k f(t_{i-1})(t_i-t_{i-1})$, and $\phi(a)\sum_{i=1}^l f(t_{i-1})(t_i-t_{i-1})$, respectively.

Then we have, combining the inequalities (1) and (2) in the solution and the first thing proven in problem (c),

$\phi(a)\int_a^{t_k} f(x)dx-(\phi(a)+1)\epsilon \le \phi(a)\sum_{i=1}^k f(t_{i-1})(t_i-t_{i-1})-\epsilon \le \sum_{i=1}^n f(t_{i-1})\phi(t_{i-1})(t_i-t_{i-1})-\epsilon \lt \int_a^b f(x)\phi(x)dx \lt \sum_{i=1}^n f(t_{i-1})\phi(t_{i-1})(t_i-t_{i-1})+\epsilon \le \phi(a)\sum_{i=1}^l f(t_{i-1})(t_i-t_{i-1})+\epsilon \le \phi(a)\int_a^{t_l} f(x)dx+(\phi(a)+1)\epsilon.$

Since $\epsilon$ is arbitrary, we get

$\phi(a) \int_a^{t_k} f(x)dx \le \int_a^b f(x)\phi(x)dx \le \phi(a) \int_a^{t_l} f(x)dx$, which is the desired conclusion.

However, this answer depends on the "assumption" I made in the bold sentence above. I've tried to prove this part, but have been unsuccessful. I think I followed the intentions of the written sketch in the last paragraph of the solution, but I can't get this part straight by any means. I would immensely appreciate it if anyone could show me how to solve this part, thanks for reading this long writing.

Hakim
  • 10,213

1 Answers1

3

Your assumption is not valid. The smallest and largest sums do not necessarily coincide with the smallest and largest values of $F(x)$, but you can salvage your proof.

Denote as follows

$$S(P) = \sum_{i=1}^n f(t_{i-1})\phi(t_{i-1})(t_i - t_{i-1}), \\ S(P_j) = \sum_{i=1}^j f(t_{i-1})(t_i - t_{i-1}). $$

We have that

$$m \phi(a) \leqslant S(P) \leqslant M \phi(a),$$

where for $1 \leqslant j \leqslant n$

$$m \leqslant S(P_j) \leqslant M.$$

For any $\epsilon >0$ if the mesh of the partition is sufficiently small, then we have both

$$S(P)-\epsilon < \int_a^b f(t) \phi(t) \, dt < S(P) + \epsilon ,$$

and for $1 \leqslant j \leqslant n$

$$\int_a^{x_j} f(t) \, dt -\epsilon < S(P_j) < \int_a^{x_j} f(t) \, dt + \epsilon .$$

Using the first inequality it follows that

$$m\phi(a) - \epsilon < \int_a^b f(t)\phi(t) \, dt < M\phi(a) + \epsilon.$$

The second inequality implies

$$\inf_{x \in [a,b]}\int_a^{x} f(t) \, dt - \epsilon < m \leqslant M < \sup_{x \in [a,b]}\int_a^{x} f(t) \, dt + \epsilon.$$

Combining we find that for any $\epsilon > 0$ we have

$$\phi(a)\inf_{x \in [a,b]}\int_a^{x} f(t) \, dt - \epsilon(1 + \phi(a)) \leqslant \int_a^b f(t)\phi(t) \, dt \leqslant \phi(a)\sup_{x \in [a,b]}\int_a^{x} f(t) \, dt + \epsilon(1 + \phi(a)),$$

and the conclusion follows since $\epsilon$ can be made arbitrarily small.

RRL
  • 90,707
  • I think I almost got it from your answer but just a few questions. First, shouldn't $S(P_j)$ be $\sum_{i=1}^j f(t_{i-1})(t_i-t_{i-1})$? I don't see how the second inequality makes sense if $\phi(t_{i-1})$ is includes in $S(P_j)$. Second, I'm guessing that the inequality involving $S(P_j)$ and $\int_a^{x_j}f$ follows from the claim proven in the solution? And in that case shouldn't it be $\le$ instead of the strict inequality? Finally, how does the second inequality imply the infimum of $\int_a^x f -\epsilon \le m$ and the right side as well? – nomadicmathematician Sep 21 '15 at 01:44
  • @takecare: On your first comment - sorry, that is a typo on my part. Will correct. – RRL Sep 21 '15 at 02:00
  • Regarding the second question on the inequality involving $S(P_j)$ and the integral -- choosing a sufficiently fine partition we can ensure that a finite number of Riemann sums are all within $\epsilon$ of the respective integrals. – RRL Sep 21 '15 at 02:09
  • 2
    If $\int_a^{x_j} f(t) , dt -\epsilon < S(P_j)$ and $m = \min_{1 \leqslant j \leqslant n} S(P_j)$, then $\inf_{x} \int_a^{x} f(t) , dt -\epsilon < m.$ – RRL Sep 21 '15 at 03:15