if n is a positive integer let Z be the subset of integer in {1,...,n} which are relatively prime to n
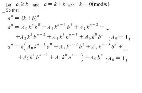
my effort to solve this question 
I''m confused and need help to solve this question please
if n is a positive integer let Z be the subset of integer in {1,...,n} which are relatively prime to n
my effort to solve this question 
I''m confused and need help to solve this question please
The elements of $\mathbf Z_n^\times$ are the integers in $\{1,\dots,n\}$ which have an inverse modulo $n$ (thanks to Bézout's theorem).
Now if $aa'\equiv 1\mod n$ and $bb'\mod n$, then $(ab)(a'b')=(aa')(bb')\equiv1\mod n$, hence $ab$ has an inverse modulo $n$.
You only need to show that if $a,b\in \mathbb{Z}_n^*$, i.e., if $gcd(a,n)=gcd(b,n)=1$, then also $gcd(ab,n)=1$, and hence $ab\in \mathbb{Z}_n^*$. You can find the proof several times here on this site, e.g. here, or here.