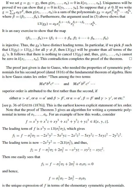
By Gauss's algorithm below, if $\rm\ z^a\,y^b\, x^c\ $ is the highest w.r.t. lex order $\rm\ z > y > x\ $ then we subtract $\rm\ s_1^{a-b}\ s_2^{b-c}\ s_3^c\,$ to decrease its order. In our example $\rm\, z^3\, y\, $ is highest, therefore we subtract $\rm\ s_1^{3-1}\ s_2^{1-0}\ s_3^0 = (x+y+z)^2\ (xy+yz+zx)\,$ from $\rm\,P.\,$ The result is smaller in lex-order, hence iterating this reduction rewrites $\rm\:P\:$ as a polynomial in elementary symmetric polynomials $\rm\,s_i.\,$ Here the algorithm terminates in two more steps - see below. See here for another worked example.
As I mentioned in a prior post, Gauss's algorithm is the earliest known example of using lex-order reduction as in the Grobner basis algorithm. For a nice exposition see Chapter 7 of Cox, Little, O'Shea: Ideals, Varieties and Algorithms. They also give generalizations to the ring of invariants of a finite matrix group $\rm G \subset GL(n,k)$. Below is an excerpt which, coincidentally, presents this example. You might find it helpful to first read the example at the end before reading the proof.
