(This question inspired by question A specific 1st order PDE which looks almost like a linear PDE.)
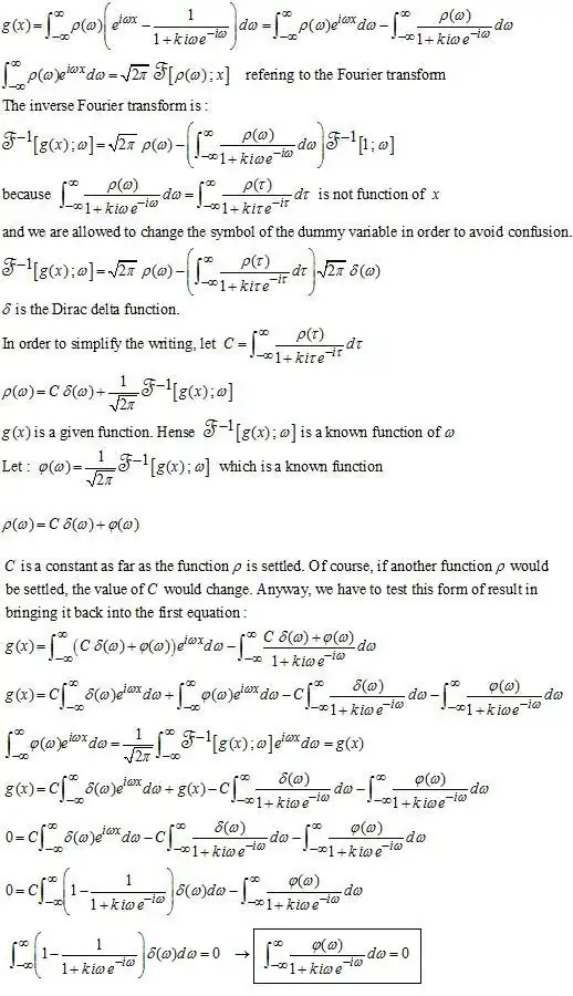
Solve integral equation $$ g(x)=\int\limits_{-\infty}^\infty \rho(\omega)\left[e^{i\omega x} - \frac{1}{1 + k i\omega e^{-i\omega}}\right]d\omega, $$ where $g(x)\colon\mathbb R\to\mathbb R$ is given and $k$ is a real constant; $\rho$ is unknown function.
I tried expand $1/(1 + k\ldots)$ into series or differentiate w.r.t. $k$, but it's useless. Since first part (with $e^{i\omega x}$) is a inverse Fourier transform, I tried to apply Fourier transform, but what we should do with integral $$ \int\limits_{-\infty}^\infty e^{-i\eta x}d\eta\int\limits_{-\infty}^\infty \frac{\rho(\omega)d\omega}{1 + ki\omega e^{-i\omega}}? $$
Part with $k$ is just a number, but we can't denote $g(x)=\mathcal F^{-1}[\rho] + \mathrm{const}$. I have tried, and it is not a true constant anyway (depends on $\rho$).


