I know dy/dx for example means "derivative of y with respect to x," but there's another context that confuses me. You will generally just see a dx term sitting at the end of an integral equation and I just don't know exactly what it means or why it's there.
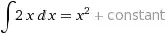
For instance, if I put into Wolfram Alpha "integral of 2x", it writes out:
That dx in there! I guess it's saying "the integral of 2x with respect to x" ? But why is that even necessary? Isn't it implied? It's annoying because it looks like multiplication, like it means "2 * x * dx" and it's just kind of misleading notation.
