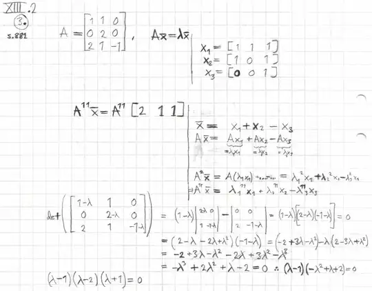
Problem 3 on page 882 here, translated:
The matrix $A=\begin{bmatrix} 1 & 1 & 0 \\ 0 & 2 & 0 \\ 2 & 1 & -1 \\ \end{bmatrix}$ has eigen-vectors $\begin{bmatrix} 1 & 1 & 1\end{bmatrix}^T$, $\begin{bmatrix} 1 & 0 & 1\end{bmatrix}^T$ and $\begin{bmatrix} 0 & 0 & 1\end{bmatrix}^T$. What is $A^{11} \bar{x}$, when $\bar{x}=\begin{bmatrix} 2 & 1 & 1 \end{bmatrix}^T$?
Now I think the key point is to realize
$$\begin{bmatrix} 2 & 1 & 1 \end{bmatrix}^T=\begin{bmatrix} 1 & 1 & 1 \end{bmatrix}^T+\begin{bmatrix} 1 & 0 & 1 \end{bmatrix}^T-\begin{bmatrix} 0 & 0 & 1 \end{bmatrix}^T$$
then we get
$$A^{11}\bar{x}= A^{11}\bar{x}_1+A^{11}\bar{x}_2-A^{11}\bar{x}_3$$
and since they are eigenvectors, we have $A\bar{x}=\lambda\bar{x}$ but here I mess up with things. I can calculate the eigenvalues from the determinant but I cannot understand which eigenvalue correspond to which eigenvector. According to my draft, the eigenvalues are $\lambda_h=1$, $\lambda_y=2$ and $\lambda_z=-1$ but how can I know which is $\lambda_1, \lambda_2$ and $\lambda_3$?
Draft
This is my work but it is not essential to understand the problem, it probably show if I have misunderstood something.
