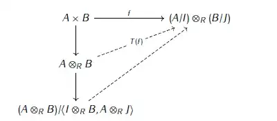
While reading, there is an isomorphism that I'm having trouble fulling seeing.
If you have two algebras $A$ and $B$ over a commutative ring $R$, with $I$ and $J$ two sided ideals in $A$ and $B$, then you should have an isomorphism $$ (A/I)\otimes (B/J)\cong (A\otimes B)/(I\otimes 1+1\otimes J). $$
Now there are bilinear maps from $A/I\times B/J\to (A\times B)/(I+J)$ and so the universal property of the tensor product gives unique maps $(A/I)\otimes (B/J)\to (A\times B)/(I+J)$. Does this somehow get to the isomorphism above, or am I completely off track? What is the quick way to see this? Thanks!

