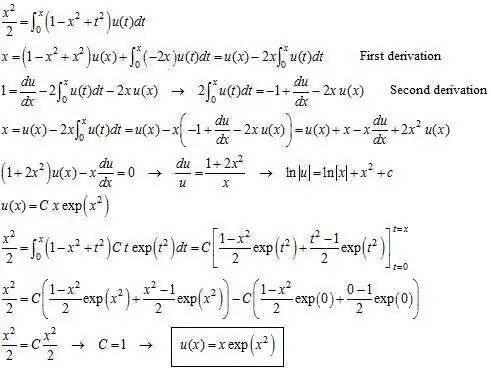
How do I solve the following Volterra, non-homogeneous, $1st$ kind Integral Equation :
$$ \dfrac{x^2}{2}=\int_0^x (1-x^2+t^2)u(t) dt$$
I know I cannot apply Laplace Transform because the kernel is not a "difference kernel". I tried method of successive approximations, but they do not converge.
