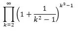
How can we compute the infinite product:

Do we need Gamma function?
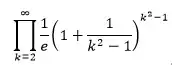
Edited: I forgot to add 1/e factor so the product converges.
The product becomes

How can we compute the infinite product:

Do we need Gamma function?
Edited: I forgot to add 1/e factor so the product converges.
The product becomes

Since
$$
\begin{align}
\prod_{k=2}^\infty\left(1-\frac1{k^2}\right)
&=\lim_{n\to\infty}\prod_{k=2}^n\left(1-\frac1{k^2}\right)\\
&=\lim_{n\to\infty}\prod_{k=2}^n\frac{k-1}k\prod_{k=3}^{n+1}\frac k{k-1}\\
&=\lim_{n\to\infty}\frac12\frac{n+1}n\\[6pt]
&=\frac12\tag{1}
\end{align}
$$
we get
$$
\begin{align}
\prod_{k=2}^\infty\frac1e\left(1+\frac1{k^2-1}\right)^{k^2-1}
&=\prod_{k=2}^\infty\frac1e\left(1-\frac1{k^2}\right)^{1-k^2}\\
&=\prod_{k=2}^\infty\frac1e\left(1-\frac1{k^2}\right)^{-k^2}\prod_{k=2}^\infty\left(1-\frac1{k^2}\right)\\
&=\frac12\prod_{k=2}^\infty\frac1e\left(1-\frac1{k^2}\right)^{-k^2}\tag{2}
\end{align}
$$
Summing
$$
-1-k^2\log\left(1-\frac1{k^2}\right)
=\sum_{n=1}^\infty\frac1{(n+1)k^{2n}}\tag{3}
$$
yields
$$
\sum_{k=2}^\infty\left(-1-k^2\log\left(1-\frac1{k^2}\right)\right)
=\sum_{n=1}^\infty\frac{\zeta(2n)-1}{n+1}\tag{4}
$$
Applying the generating function of $\zeta(2n)$ derived in this answer, produces
$$
\begin{align}
&\sum_{n=1}^\infty\frac{\zeta(2n)-1}{n+1}\\
&=\sum_{n=1}^\infty\int_0^1(\zeta(2n)-1)\,2x^{2n+1}\,\mathrm{d}x\tag{5a}\\
&=\int_0^1\left(1-\pi x\cot(\pi x)-\frac{2x^2}{1-x^2}\right)\,x\,\mathrm{d}x\tag{5b}
\\
&=\int_0^1\left(3-\pi\cot(\pi x)-\frac2{1-x^2}\right)\,x\,\mathrm{d}x\tag{5c}\\
&=\frac32-\lim_{\lambda\to1^-}\int_0^\lambda\left(\pi\cot(\pi x)+\frac2{1-x^2}\right)\,x\,\mathrm{d}x\tag{5d}\\
&=\frac32-\lim_{\lambda\to1^-}\left[\vphantom{\sum}\lambda\log(\sin(\pi\lambda))-\log(1-\lambda^2)\right]+\int_0^1\log(\sin(\pi x))\,\mathrm{d}x\tag{5e}\\
&=\frac32-\log(\pi)+\log(2)-\log(2)\tag{5f}\\
&=\frac32-\log(\pi)\tag{5g}
\end{align}
$$
Explanation:
$\text{(5a)}$: $\int_0^12x^{2n+1}\,\mathrm{d}x=\frac1{n+1}$
$\text{(5b)}$: use the generating function for $\zeta(2n)-1$
$\text{(5c)}$: use that $1-\frac{2x^2}{1-x^2}=3-\frac2{1-x^2}$ and $(8)$
$\text{(5d)}$: write the integral as a limit
$\text{(5e)}$: integrate by parts
$\text{(5f)}$: use $\lim\limits_{\lambda\to1}\frac{\sin(\pi \lambda)}{1-\lambda}=\pi$ and $(10)$
$\text{(5g)}$: cancel $\log(2)$
Combining $(2)$, $(4)$, and $(5)$ gives $$ \bbox[5px,border:2px solid #FF0000]{\prod_{k=2}^\infty\frac1e\left(1+\frac1{k^2-1}\right)^{k^2-1} =\frac{e^{3/2}}{2\pi}}\tag{6} $$
Note that by substituting $x\mapsto1-x$ $$ \int_0^1\pi(1-x)\cot(\pi x)\,x\,\mathrm{d}x =-\int_0^1\pi(1-x)\cot(\pi x)\,x\,\mathrm{d}x\tag{7} $$ Therefore, $$ \int_0^1\pi(1-x)\cot(\pi x)\,x\,\mathrm{d}x=0\tag{8} $$ Furthermore, $$ \begin{align} &\int_0^1\log(\sin(\pi x))\,\mathrm{d}x\\ &=2\int_0^{1/2}\log(\sin(2\pi x))\,\mathrm{d}x\\ &=\log(2)+2\int_0^{1/2}\log(\sin(\pi x))\,\mathrm{d}x+2\int_0^{1/2}\log(\cos(\pi x))\,\mathrm{d}x\\ &=\log(2)+2\int_0^{1/2}\log(\sin(\pi x))\,\mathrm{d}x+2\int_{1/2}^1\log(\sin(\pi x))\,\mathrm{d}x\\ &=\log(2)+2\int_0^1\log(\sin(\pi x))\,\mathrm{d}x\tag{9} \end{align} $$ Therefore, $$ \int_0^1\log(\sin(\pi x))\,\mathrm{d}x=-\log(2)\tag{10} $$
$\newcommand{\angles}[1]{\left\langle\, #1 \,\right\rangle} \newcommand{\braces}[1]{\left\lbrace\, #1 \,\right\rbrace} \newcommand{\bracks}[1]{\left\lbrack\, #1 \,\right\rbrack} \newcommand{\dd}{{\rm d}} \newcommand{\ds}[1]{\displaystyle{#1}} \newcommand{\dsc}[1]{\displaystyle{\color{red}{#1}}} \newcommand{\expo}[1]{\,{\rm e}^{#1}\,} \newcommand{\half}{{1 \over 2}} \newcommand{\ic}{{\rm i}} \newcommand{\imp}{\Longrightarrow} \newcommand{\Li}[1]{\,{\rm Li}_{#1}} \newcommand{\pars}[1]{\left(\, #1 \,\right)} \newcommand{\partiald}[3][]{\frac{\partial^{#1} #2}{\partial #3^{#1}}} \newcommand{\root}[2][]{\,\sqrt[#1]{\vphantom{\large A}\,#2\,}\,} \newcommand{\totald}[3][]{\frac{{\rm d}^{#1} #2}{{\rm d} #3^{#1}}} \newcommand{\verts}[1]{\left\vert\, #1 \,\right\vert}$ Note that $$ \prod_{k=2}^{\infty}\bracks{\frac{1}{\expo{}}\pars{1 + \frac{1}{k^{2} - 1}} ^{k^{2}\ - 1}} =\exp\pars{\color{#66f}{% \sum_{k=2}^{\infty} \braces{\bracks{k^{2} - 1}\ln\pars{1 + \frac{1}{k^{2} - 1}} - 1}}} $$ We'll study the above $\ds{\color{#66f}{blue}}$ expression: \begin{align} &\color{#66f}{\lim_{N \to \infty}\ \sum_{k=2}^{N}\bracks{\pars{k^{2} - 1}\ln\pars{1 + \frac{1}{k^{2} - 1}}- 1}} =\lim_{N \to \infty}\ \sum_{k=2}^{N}\bracks{\pars{k^{2} - 1}\ \overbrace{% 2\int_{0}^{1}\frac{x\,\dd x}{k^{2} - x^{2}}} ^{\dsc{\ln\pars{1 + \frac{1}{k^{2} - 1}}}}\ -\ 1} \\[5mm]&=\lim_{N \to \infty}\ \sum_{k=2}^{N}\bracks{\pars{k^{2} - 1} 2\int_{0}^{1}\frac{x\,\dd x}{k^{2} - x^{2}}\ -\ \overbrace{2\int_{0}^{1}x\,\dd x}^{\dsc{1}}} \\[5mm]&=2\lim_{N \to \infty}\ \sum_{k=2}^{N}\ \int_{0}^{1}\frac{\pars{k^{2}x - x}-\pars{k^{2}x - x^{3}} }{k^{2} - x^{2}}\,\dd x \\[5mm]&=2\int_{0}^{1}x\pars{x^{2} - 1} \sum_{k=0}^{\infty}\frac{1}{\pars{k + 2 + x}\pars{k + 2 - x}}\,\dd x \\[5mm]&=\int_{0}^{1} \pars{x^{2} - 1}\bracks{\Psi\pars{2 + x} - \Psi\pars{2 - x}}\,\dd x\tag{1} \end{align} where $\ds{\Psi}$ is the Digamma Function. With the Digamma Recurrence Formula: \begin{align} \Psi\pars{2 + x} - \Psi\pars{2 - x} &=\bracks{\Psi\pars{1 + x} + \frac{1}{1 + x}} -\bracks{\Psi\pars{1 - x} + \frac{1}{1 - x}} \\[5mm]&=\frac{1}{1 + x} - \frac{1}{1 - x} + \Psi\pars{1 + x} -\bracks{\Psi\pars{-x} + \frac{1}{-x}} \\[5mm]&=\frac{1}{1 + x} - \frac{1}{1 - x} + \frac{1}{x} + \bracks{\Psi\pars{1 + x} - \Psi\pars{-x}} \\[5mm]&=\frac{1}{1 + x} - \frac{1}{1 - x} + \frac{1}{x} - \pi\cot\pars{\pi x} \tag{2} \\[5mm]&=\totald{}{x}\bracks{\ln\pars{1 + x} + \ln\pars{1 - x} + \ln\pars{x}\ -\ln\pars{\sin\pars{\pi x}}} \end{align} where we used, in expression $\pars{2}$, the Euler Reflection Formula. Expression $\pars{1}$ is reduced to: \begin{align} &\color{#66f}{\lim_{N \to \infty}\ \sum_{k=2}^{N}\bracks{\pars{k^{2} - 1}\ln\pars{1 + \frac{1}{k^{2} - 1}}- 1}} \\[5mm]&=-\ln\pars{\pi} -2\ \underbrace{% \int_{0}^{1}\bracks{\ln\pars{1 + x} + \ln\pars{1 - x} + \ln\pars{x}\ -\ln\pars{\sin\pars{\pi x}}}x\,\dd x} _{\dsc{\frac{2\ln\pars{2} - 3}{4}}} \end{align}