For some reason this note of Vakil seemed to take a bit for me to unpack -- so once bumping into this question here I felt obligated to include what helped me eventually see the natural structure.
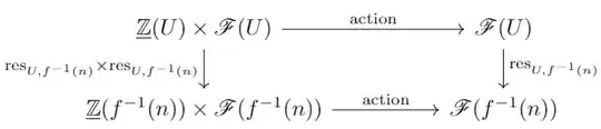
Let's take $\mathscr{F}$ to be a $\underline{\mathbb{Z}}$-module and $U$ some open set in $X$. As @Hoot indirectly mentioned through their comment, it is not hard to see $\mathcal{U}= \{f^{-1}(n)\}_{n\in\mathbb{Z}}$ forms an open cover -- and is arguably the best choice of a cover as $f$ is constant on each element. Since $\mathscr{F}$ is a $\underline{\mathbb{Z}}$-module, we have that for each $n \in \mathbb{Z}$ that

commutes, hence it follows that

Using then the property that $\mathscr{F}$ is a sheaf, we can glue together each of the pieces of $f \cdot \alpha$ that are distributed throughout $\{\mathscr{F}(f^{-1}(n))\}_{n\in\mathbb{Z}}$ to get it back.
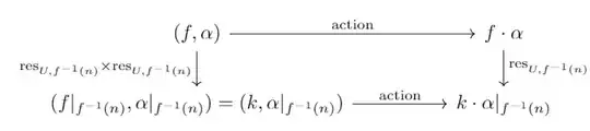
Neatly being stated: take $\mathcal{U}$ above to be our cover, $f_k = k \cdot \alpha|_{f^{-1}(k)} \in \mathscr{F}(f^{-1}(k))$, and note that for $n,m \in \mathbb{Z}$ that it should be clear we have
\begin{align*}
m=n &\implies f^{-1}(n) \cap f^{-1}(m) = f^{-1}(n) = f^{-1}(m) \\
m \neq n &\implies f^{-1}(n) \cap f^{-1}(m) = \emptyset
\end{align*}
thus in both case we trivially obtain that for all $n,m \in \mathbb{Z}$
$$\text{res}_{f^{-1}(n),f^{-1}(n) \cap f^{-1}(m)} f_n = \text{res}_{f^{-1}(n),f^{-1}(n) \cap f^{-1}(m)} f_m$$
(as recall that $\mathscr{F}(\emptyset)$ is a singleton). Hence by the conclusion of the gluability axiom, we can essentially "glue" our $f_i$'s all together to obtain an $F$ that restricts to each $f_i$ (i.e. we get the existence of such an $F$). The uniqueness of this $F$ follows from the identity axiom on $\mathscr{F}$. This resulting $F$ is what we then define to be $f\cdot \alpha$.