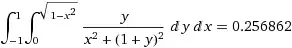
Solve $$ \iint \limits_D \frac{y}{x^2+(y+1)^2}dxdy \ \ \ \ . . . \ (*)$$
where $D$=$\{$$(x,y): x^2+y^2 \le1 , y\ge0 $$\}$
$$ $$ Here is my attempt.
$$\begin{align} &(1).\ \ \ (*)=\int_{-1}^1 \int_{0}^{\sqrt{1-x^2}}\frac{y}{x^2+(y+1)^2}dydx \\ &(2).\ \ \ (*)= \int_{0}^1 \int_{-\sqrt{1-y^2}}^{\sqrt{1-y^2}}\frac{y}{x^2+(y+1)^2}dxdy \\ &(3). \ \ \int\frac{y+1}{x^2+(y+1)^2}dx = \arctan\left(\frac{x}{y+1}\right) + C \\ &(4). \ \ \ (*)=\int_{0}^{\pi} \int_{0}^{1}\frac{r^2sin\theta}{r^2+2rsin\theta+1}drd\theta \\\\ \end{align}$$
I used $(1)$, $(4)$ and $(2)$ with $(3)$,
but didn't solve yet. $$$$ Did I make a mistake?
Could you give me some advice, please?
How can I solve this integral...
Thank you for your attention to this matter.
$$$$ P.S.
Here is result of wolframalpha



$$$$
$$ $$ Additionally... I did like this.. maybe useless :-(
$$\begin{align} (*) & = \int_{0}^1 \int_{-\sqrt{1-y^2}}^{\sqrt{1-y^2}}\frac{y}{x^2+(y+1)^2}dxdy \\\\ &=\int_{0}^1 \int_{-\sqrt{1-y^2}}^{\sqrt{1-y^2}}\frac{y+1}{x^2+(y+1)^2}dxdy + \int_{0}^1 \int_{-\sqrt{1-y^2}}^{\sqrt{1-y^2}}\frac{1}{x^2+(y+1)^2}dxdy \\\\ &=\int_{0}^1 \left(\arctan\left(\frac{\sqrt{1-y^2}}{y+1}\right) - \arctan\left(\frac{-\sqrt{1-y^2}}{y+1}\right)\right)dy \\ & \ \ \ \ + \int_{0}^1 \int_{-\sqrt{1-y^2}}^{\sqrt{1-y^2}}\frac{1}{x^2+(y+1)^2}dxdy \\\\ &=\int_{0}^1 \left(\arctan\left(\sqrt\frac{1-y}{1+y} \ \right) - \arctan\left(-\sqrt\frac{1-y}{1+y} \ \right)\right)dy \\ & \ \ \ \ +\int_{0}^1 \int_{-\sqrt{1-y^2}}^{\sqrt{1-y^2}}\frac{1}{x^2+(y+1)^2}dxdy \\\\ &= terrible?! \\ \end{align}$$
$$ $$
$$ $$ ---------------------------------------------------------------------------
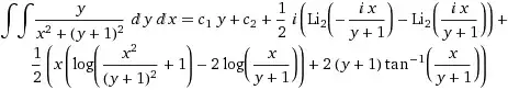
This picture is for asking to Christian Blatter
(I am really sorry, if I bother you guys for this picture.)

