I’ve been doing a fair bit of DIY home automation (RF; 433MHz) lately across many different devices - which worked well for all except one. It's basically a pool robot with some really crappy remote control.
I collected some data using a BladeRF SDR and GNU Radio. The "other 3" column is basically the action, while "other 1" seems to be some serial and "other 2" defines the robot if you have multiple in use I guess (some friend of mine who has the same has a different value there). I'm not sure what purpose the count suits but I would guess it's so the robot knows when the range gets too wide eventually (missing some information?). I've narrowed down the bytes and their meanings, however I fail at calculating the correct CRC (checksum) for the data.
OLD - PLEASE SEE UPDATE BELOW!!
Here is some sample data:
<other1 > <other2> <other3> <count > <crc >
10110100 00111110 10001111 11001000 00000001 11110111 01011110
10110100 00111110 10001111 11001000 00000001 11111000 01010011
10110100 00111110 10001111 11001000 00000001 11111001 01010100
10110100 00111110 10001111 11001000 00000001 11111010 01010001
10110100 00111110 10001111 11001000 00000001 11111011 01010010
10110100 00111110 10001111 11001000 00000001 11111100 01010111
10110100 00111110 10001111 11001000 00000001 11111101 01011000
10110100 00111110 10001111 11001000 00000001 11111110 01010101
10110100 00111110 10001111 11001000 00000001 11111111 01010110
10110100 00111110 10001111 11001000 00000001 00000000 01100111
10110100 00111110 10001111 11001000 00000001 00000001 01101000
10110100 00111110 10001111 11001000 00000001 00000010 01100101
10110100 00111110 10001111 11001000 00000001 00000011 01100110
10110100 00111110 10001111 11001000 00000001 00000101 01100100
10110100 00111110 10001111 11001000 00000001 00000111 01100010
added data:
10110100 00111110 10001111 11001000 00000010 00000110 01100100
10110100 00111110 10001111 11101010 00000010 01100101 10011010
10110100 00111110 10001111 11101010 00000001 01100100 10011100
10110100 00111110 10001111 11101010 00000001 01100011 10011101
10110100 00111110 10001111 11101010 00000001 01100110 10011010
There is a count for each request that must be changed and some commands to be sent, e.g. the "other 3" column could read 00000010 instead of 00000001.
It would be very helpful if somebody could give me some hints on where to look at. I've tried different techniques like XOR across the bytes or calculating modulo etc. - I even tried different CRC algorithm brute force tools - unfortunately to no success yet.
EDIT: I've put the data into excel and added some function (it basically compares each 4 bit with the ones from above - the last transmission). I've done that as I recognized the CRC stayed the same once. This was the case when both action and count were raised by 1. Please have a look:
UPDATE:
I've found some other more detailed spec. from the same vendor on the net after searching for hours and it came out the so thought CRC is in fact a parity. I also fine tuned my gnu radio capture flowgraph and collected some new data. Please disregard the data above and have a look here:
other 1> other 2 > other 3> other 4 > parity
10110100 001111101000111111101010 00000001 011110101001 0101
10110100 001111101000111111101010 00000001 011110111001 0110
10110100 001111101000111111101010 00000001 011111001001 0011
10110100 001111101000111111101010 00000001 011111011001 0100
10110100 001111101000111111101010 00000010 011111101001 0100
10110100 001111101000111111101010 00000010 011111111001 0011
10110100 001111101000111111101010 00000010 100000001001 0011
10110100 001111101000111111101010 00000010 100000011001 0100
10110100 001111101000111111101010 00000001 100000101001 0100
10110100 001111101000111111101010 00000001 100000111001 0011
10110100 001111101000111111101010 00000001 100001001001 0110
10110100 001111101000111111101010 00000001 100001011001 0101
10110100 001111101000111111101010 00000010 100001101001 0101
10110100 001111101000111111101010 00000010 100001111001 0110
10110100 001111101000111111101010 00000010 100010001001 1011
10110100 001111101000111111101010 00000010 100010011001 1100
10110100 001111101000111111101010 00000001 100010101001 1100
10110100 001111101000111111101010 00000001 100010111001 1011
10110100 001111101000111111101010 00000001 100011001001 1110
10110100 001111101000111111101010 00000001 100011011001 1101
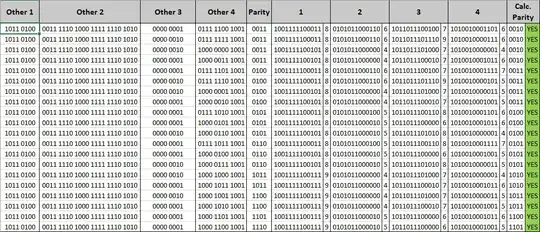
And here is it again as fancy excel:
Does anybody know how to calculate that parity? I've tried splitting the data etc. and using usual parity calculations but unfortunately with no success yet.


