As an adult, I second guess all of my parents' advice, seeing that most of it was ridiculous, but some of them just might have been true. A large swath of it was connected to eyesight: "Don't watch too much TV or read too many books, you'll ruin your eyes", "Don't watch TV without a lamp on, you'll ruin your eyes", "Don't read lying down on your side", "Don't read books in the morning before you've had at least something to drink, better yet breakfast", "Don't hold the book too close or too far", "Don't wear sunglasses indoors", and probably others I don't remember any more.
They were never specific about what "you'll ruin your eyes" means, but as far as I know, the most usual vision problem in young people is myopia. But myopia's "works" through an anatomical mechanism, by having an eyeball of the wrong length, and I have no idea if any of these behaviors, or another one they failed to specify, can cause the eyeball to grow wrong.
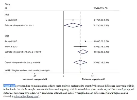
Are there any known behaviors which cause or at least predispose for becoming myopic? Are any of the behaviors listed above connected to poor eyesight? Is it possible to reduce one's chances of becoming myopic by lifestyle and behavior change? If it is possible, does it only work before the process starts, or does it also slow down the progress of already existing myopia?


