14

Is it possible for an antipyretic medication taken when not experiencing fever to cause a person's body temperature to drop below normal? I found one article that seems to say yes, but only for large doses (in mg/kg) in mice.

CowperKettle
  • 1,630
  • 11
  • 18
Jim Garrison
  • 242
  • 2
  • 8

2 Answers2

8

It is not possible.

The regulation of human body temperature (thermoregulation) is very subtle. Wikipedia article about thermoregulation contains a very nice graph about that mechanism. enter image description here

The labels are not described in the text in detail and the reference in the caption does not include this picture. Picture is a work by one JW Dietrich and I also searched PubMed for this guy, but he has no works on this topic.

Another more pragmatic picture is here.

enter image description here

Fever or increased body temperature is almost solely caused by to the production prostaglandin E2 (PGE2). PGE2 acts on the hypothalamus or the thermoregulator of the body and as a result body temperature increases (1). PGE2 production is controlled by the immune system. Fever is meant to have a good cause since fever is supposed to help killing the bacteria or viruses causing any illness.

Antipyretics are drugs which interact with PGE2. Basically they suppress the formation of PGE2. In that way they "treat" the fever.

As can be seen from the control circuit describing the thermoregulation PGEs has nothing to with this process. Due to this, blocking non existing PGE2 production during normal body temperature has no effect whatsoever which would cause the body temperature to drop. Even it would happen with some mysterious cause, the body rapidly balance the situation as seen above in the figures.

arkiaamu
  • 2,337
  • 12
  • 15
5

Kudos for finding that study on mice! I also googled a bit for references..

From "Physiology Secrets" (page 315) by Hershel Raff, published in 2003:

enter image description here

Furthermore, in one other source the author says that aspirin can even induce hyperthermia (elevated body temperature) ("Applied Pharmacology for the Dental Hygienist" by Elena Bablenis Haveles, 2015, page 606):

enter image description here

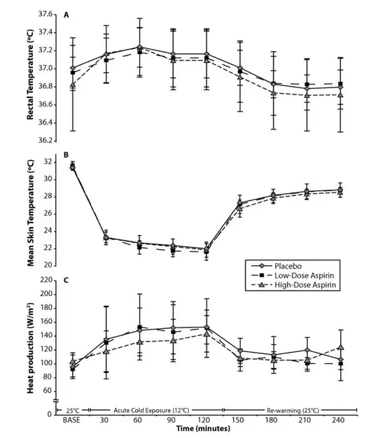
A research article, detailing research performed on healthy subjects:

The Effects of High- and Low-Dose Aspirin on Thermoregulation During and After Acute Cold Exposure (Murray et al., 2011, Wilderness and Environmental Medicine)

Conclusions. — These data demonstrate that aspirin had no significant effect on the thermal and metabolic responses during acute cold exposure and rewarming.

Figure from the article:

enter image description here

(High-dose aspirin: 650 mg/day for one week; low-dose aspirin: 81 mg/day for one week)

CowperKettle
  • 1,630
  • 11
  • 18