@Rudy01, you have asked an excellent question that deserves an exact answer...
The positive feedback can be used for amplifying purposes as well... and it was used in the past to increase the gain of the then amplifiers having fixed, stable but low gain. Nowadays the situation is just the opposite - we have (op)amps with enormous but not exactly specified gain. For this reason, we use a negative feedback to reduce their excessive gain... and make it stable and exactly specified. So, the negative feedback is used, as a rule, in any amplifier.
Now let's see when we add an additional positive feedback... or, as you asked, "why in some applications they use both the positive and negative feedback path?" Of course, the current inversion NIC - INIC (in the Wikipedia picture above) is the most typical example of using this mixing technique. As the best way to understand circuits is to build them, I suggest to do it with this odd circuit.
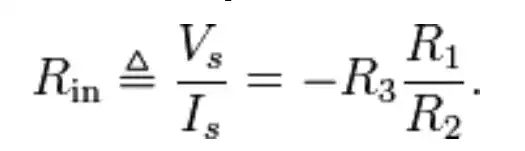
The idea of creating this kind of negative resistance (we can name it voltage controlled) is extremely simple - we connect an opposing voltage source (in the simplest case, 2V) via a positive resistor (R) to the input voltage source (V). As a result, the current through the positive resistor is reversed (thus the name INIC)... and the resistor as though produces instead to consume a current V/R. To implement this opposing voltage source, we need a fixed-gain non-inverting amplifier... and we make it by applying a negative feedback to an op-amp that reduces its excessive gain to the finite value 1 + R2/R1.
Then, to obtain the negative resistance, we should apply this opposing voltage back to the input voltage source. So, we connect the op-amp output via a resistor (R3 in the picture) with its input. Now, if the input voltage source is perfect (Rin = 0), nothing new (regarding the feedback) will happen - a negative resistor -R will be connected to the perfect input voltage source... and it will pass back current V/R through it... but there will be no positive feedback. Usually, voltage sources are not perfect (they have some internal resistance), or we intentionally connect a positive resistance in series to the input source... so, in this cases, a positive feedback appears... and we have the both kinds of feedback... We have only to make the negative feedback dominate over the positive one to keep the circuit stable (to avoid the "hysteresis" as you said in your question)...
Now about the most interesting part of this discussion where you asked, "How does the positive path maintain a constant current?"... and commented, "but it is only changing the direction in the positive feeback path, correct? The current througth the source is always the same direction, correct?"... and simply you wanted to know the meaning of all this...
First at all, Spehro Pefhany should note that this circuit is known as Howland current source (pump). It was invented in the early 60's simultaneously by Howland and Deboo. Simply speaking, it is a mixture of two opposite but equivalent resistors - positive (R2 = 100 kom) and negative (RN = -100 kom, the whole INIC). They completely neutralize each other and the result is an infinite (differential!) resistance connected in series with the input voltage source (+5 V). So, the whole combination (excluding only the rheostat) acts as a perfect current source suplying the rheostat...
Like negative feedback, in most cases, the negative resistance is something "positive" (useful, "helping"). Think of the combination Vin + R2 as an imperfect current source that is affected (disturbed) by the rheostat (this current source "wants" to pass a current Vin/R2 = 5/100 = 50 mA through the rheostat but the current is less - Vin/(R2 + Rrh)):
I = (Vin - Vrh)/R2 = Vin/R2 - Vrh/R2 = Idesired - Ierror
As you can see, the part (a kind of current) Vrh/R2 is the error, and the negative resistor adds exactly this current. Thus the negative resistor "helps" the input source in its "striving" to pass the "desired" current through the rheostat by adding an additional current to it. So, in this circuit, both the input source and INIC (the op-amp output through R4) pass currents in the same direction through a common load - the rheostat.
Now about the discrepancy with the Wikipedia article. There the simplest case is shown - a voltage source (with positive voltage) "loaded" by an INIC. In this simple case, really the INIC "pushes" back (sources) the current into the input source since there is no load to divert the current. I have illustrated this situation in the picture below by means of voltage bars and current loops; so you can see where currents flow:

If the input source had a negative voltage, the INIC would sink the current from the source:

I have explained in detail this topic in my stories below; maybe they would be useful for you:
Revealing the Mystery of Negative Impedance
How to Compensate Resistive Losses by Parallel Connected Negative Resistor
Linear Mode of Current Inversion NIC
What Is the Basic Idea behind a Negative Impedance Converter (NIC)? (WP talk)