I want to measure Differential mode HF 9kHz to 100kHz with 3dB accuracy on my 230V 50Hz mains. Is the following concept good?
Let's imagine a first-oder high pass filter
with its entry voltage U_e and its exit voltage U_a.
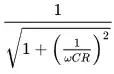
The formula for the voltage relation of a normal first-order high pass is
, so for 50Hz it is ~ 0.015 so 3V so my oscilloscope is safe.
The assumption that entry impedance is zero is quite satisfied, because it is mains. The assumption that exit impedance is infinity on 50Hz is quite satisfied, because my oscilloscope has 1MOhm >> 10kOhm of the ressistor in parallel in my circuit diagram. The reactance of a 4.7nF capacitor for 50Hz is ~ 677kOhm, so through the 10kOhm resistor only flows 0.34mA so ~ 0.08W. My oscilloscope has a capacitance of 71pF, so for 9kHz the reactance is 250kOhm, for 100kHz it is 22kOhm which is high enough in comparision to 10kOhm, so I expect the measurements to be good enough.
Any flaws in theory or problems with the components metal film resistor/X2 capacitor?

