My question is about differential amplifier. I don`t know \$2\frac{\Delta R}{R}\$ proof.
I don't know this proof. Why \$Av(cm) = 2 \frac{\Delta R}{R}\$?
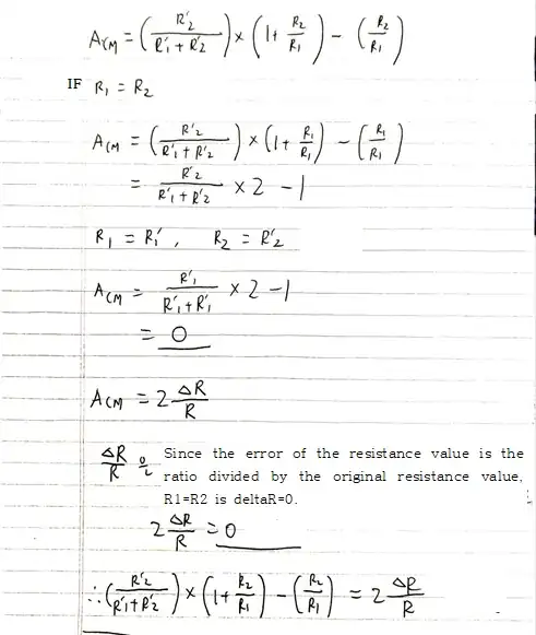
This is my solution.

My question is about differential amplifier. I don`t know \$2\frac{\Delta R}{R}\$ proof.
I don't know this proof. Why \$Av(cm) = 2 \frac{\Delta R}{R}\$?
This is my solution.
