-1

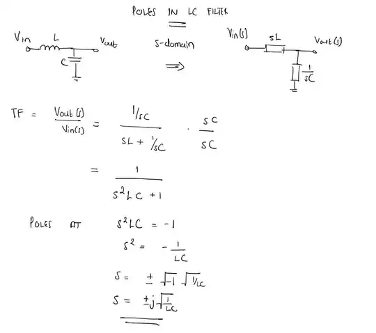
I am trying to derive the poles in an LC filter:

enter image description here

But I see that one of my poles is in the LHP and the other is in the RHP plane, both fully imaginary. What have I done wrong?

3 Answers3

1

Looks like both poles are on the jw axis (as they should be without resistance in the circuit). I think you're confusing the upper and lower half planes with the left and right half planes.

See this answer for more info: Very basic question about under damped oscillation frequency

John D
  • 23,824
  • 1
  • 41
  • 61
  • But from a bode plot view, the impact of a +jw pole and a -jw pole is the same? They will appear as a double pole and give a -90 -90 = -180 deg phase shift? – alayoiskgfbfqhxjiw Jul 30 '22 at 15:59
  • @alayoiskgfbfqhxjiw Yes, they will result in 180 degrees of eventual phase shift and -40 dB/decade of roll off in the magnitude response. – John D Jul 30 '22 at 20:21
0

Poles are expected to be imaginary anyway because there isn't such thing as complex inductance and complex capacitance.

Miss Mulan
  • 1
  • 1
  • 5
  • 14
0

This is what the pole-zero diagram looks like for your 2nd-order, low-pass filter: -

enter image description here

Note that your poles will be on the \$j\omega\$ axis top and bottom. They will, as damping is introduced, both move leftwards along the circular dotted trajectory in the diagram. Image from my basic website. If you are interested, this is what the pole-zero diagram looks like in 3D (now incorporating the bode plot): -

enter image description here

Just the positive-frequency pole is shown for reasons of clarity.

Andy aka
  • 456,226
  • 28
  • 367
  • 807