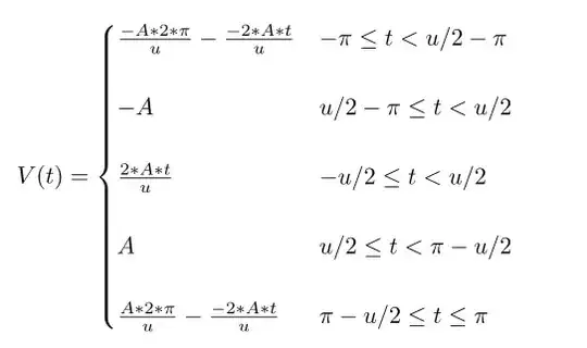
I am calculating RMS value of trapezoidal wave.

I found its formula like below:

and at last the RMS value formula:

u = 30degree or pi/6 --> especially pi/6
A = 12
When I calculate RMS value by this formula, I got 2 but by matlab, I got 11.314, when I calculate the RMS value by fourier series, I got 8.48 where did I make mistake ?
Here the codes
inputs = -pi:0.0001:pi;
outputs = zeros(1,length(inputs));
u = pi/6;
A = 12;
for i =1:length(inputs)
if inputs(i) <= u/2-pi && inputs(i)>=-pi
outputs(i) = -2*A*pi/u - 2*A*inputs(i)/u;
elseif inputs(i)>=u/2-pi && inputs(i)<(-u/2)
outputs(i) = -A;
elseif inputs(i)>=(-u/2) && inputs(i)<=(u/2)
outputs(i) = 2*A*(inputs(i))/u;
elseif inputs(i)>(u/2) && inputs(i)<=(pi-u/2)
outputs(i) = A;
elseif inputs(i)>(pi-u/2) && inputs(i)<(pi)
outputs(i) = 2*A*(pi - inputs(i))/u;
end
end
mean(outputs)
rms(outputs)
%axis([-10,10,-4pi,4pi]);
plot(inputs,outputs);