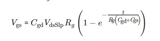
According to this topic ,how to get this formula, I use RC circuit and can't get this formula


This is my answer, and I don't know where is wrong
According to this topic ,how to get this formula, I use RC circuit and can't get this formula


This is my answer, and I don't know where is wrong
The original information linked in your question said this important piece of information that you may have missed: -
how to calculate the correct value for a pulldown resistor for a MOSFET's floating gate.
And, from a comment conversation with the OP, it transpires that he is driving the MOSFET with a push-pull driver: -
Using the Rgs resistor is to prevent the mosfet false turn on using the push-pull driver
This effectively means that the MOSFET doesn't have a floating gate because it is driven by a push-pull driver. This means that a pull-down resistor is not required for normal operation of the MOSFET because the push-pull driver performs that function.
However, there are circumstances when it might be prudent to add one. For instance, if the driver didn't activate until several volts of supply were applied, the MOSFET might be partially turned on by driver circuit leakage currents. This might damage the MOSFET if a "strong" load were connected.
But, no calculations are needed for this because simply choosing a 10 kΩ resistor in most cases will do the trick. The 10 kΩ resistor would barely affect normal circuit functionality or performance but, if there is a suspicion that it does, then choose a 100 kΩ pull-down resistor.
No need for lengthy calculations or formulas.