I explored a lot of literature about paper-based electronics recently, and one particular paper caught my interest: “Handwritten Oxide Electronics on Paper” (DOI: 10.1002/admt.201700009) by Elvira Fortunato et al.
It explains a method to make transistors (FET) on a sheet of standard paper, using a Zinc Oxide (ZnO) based ink (applied by a calligraphy pen) as the channel, paper as the dielectric layer, and silver coating as the gate, source and drain (screen-printed).
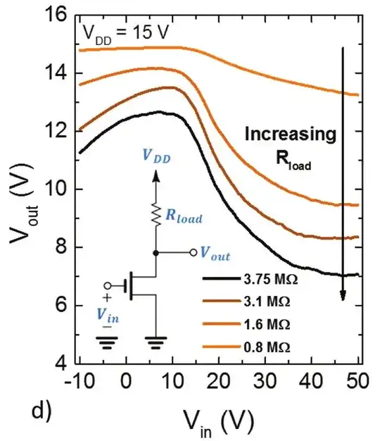
They achieve the construction of an inverter, with 15 V as Vdd, a 3.75 MΩ resistor, Vin = 12 V, Vout = 6 V.

simulate this circuit – Schematic created using CircuitLab
It's not spectacular, but given the simplicity of the method, I wonder if such transistors could be used to make logic gates, an adder, and eventually a complete CPU (at least a design from the 70s with a few thousand transistors) entirely by hand or at least printed? Maybe on rolled-up or stacked-up sheets of paper?
Zinc Oxide only allows n-channel, enhancement type FET, which means the logic used for building gates would be NMOS (with somewhat big mega-ohms pull-up resistors).
That's highly hypothetical, and I'm definitely not an expert in transistors. But if we could one day make biodegradable computers out of paper, with kitchen shelf ingredients, that'd be interesting, wouldn't it?
Note: On a later paper they achieve better efficiency, but using IGZO (Indium Gallium Zinc Oxide) instead, which is an industry standard, but way harder to make at home.
The specific design I had in mind
I'm considering building a paper-based CPU based on that fabrication method. I could print transistors (about 1 cm2) on sheets, rolled up for each component (or a bunch of them), then clipped together using copper wire with tips bent in a paperclip shape.
Given a box of about 1 cubic meter, it would look like a bunch of scrolls clipped together.
Capacitors could be made using the old paper + oil + aluminum design.
Resistors are just a zigzag pattern using a pencil.
Would that work or am I missing a major difficulty?
About the size
Some people say that such a design would be huge, and thus impossible to carry electricity around without fatal losses.
It seems, according to the illustrations in the scientific paper, that the transistors could be made about 1 cm2 in size (maybe less if printed with a really high resolution printer).
For a 2000 transistors design, that would mean 50 × 40 cm, which seems fairly acceptable.
About power distribution and signal loss
Did big (room-sized) computers use a lot of current? How did they handle carrying current over long distances?
Is there a way to prevent signal loss?
