Recently I bought some "300LED/5meter Waterproof 5630 SMD LED Flexable Strip" i.e. High brightness LED strips from China. In the specifications, it was said that the strip consumes 75W @ 12v, which equates to 6.25A @ 12v.
I first tested the LED strips with a 12v 2.5a power supply, seeing as it was the easiest to find. Later I found my 12v 5a power supply, and I was surprised to see very little difference between the two power supplies (in terms of perceptible brightness). Not having any proper test equipment on hand, I bought it over to my local hackerspace which is a little more suited towards doing things like this.
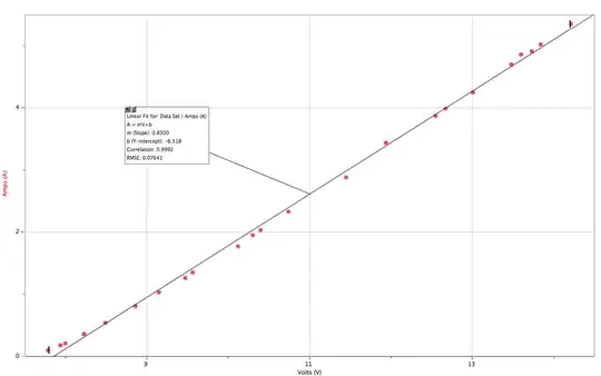
After setting up the LED strip so that it's connected to a 3~20v <10a bench power supply, a voltmeter and an ammeter, I took a video of the readouts from the two meters, whilst I increased the voltage: http://youtu.be/uX-3r6mrF9A
The results I obtained were... interesting :P
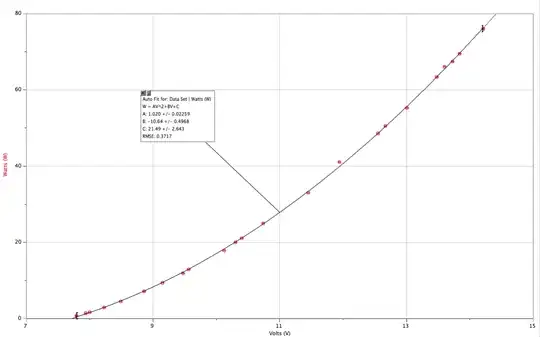
Surprisingly, at 12v, I only got 3.44a (41.28w, 45% less than advertised value!). You can get the results here (google doc).
I then plotted watts against volts, and it turns out that I would need to power this strip at 14.14v in order to get 75w!
Basically, I'm not overly happy with the performance of this LED strip. In order to get the correct power output, you would have to overvolt it by 2.14v, which has the potential to significantly reduce the LED's lifetime. Unfortunately, I was unable to measure the exact voltage at the individual LED level (they were epoxied), but I suspect that they would need at least some heat-sinking if they're to operate for any period of time.
I know that the light output of LEDs isn't measured in watts, but in my mind, < watts specified = < luminous flux specified. I'm still not quite comfortable with all of these conversions, so I am probably wrong somewhere.
Aside from this, I suspect that the values indicated by the multimeters may be a bit off (both are cheap ones), and that there is some power loss from the way I set it up. The values on the PSU matched the values on the multimeters so there shouldn't be too many discrepancies.
Any ideas? I only get ~55% of the specced power consumption @12v, is it O.K to go any higher in terms of voltage?
Cheers,
Sasha
