I have calculated the resistance of coil and capacitors. This is the source: 
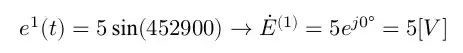
And here are my equations about the upper node(U1). Are they right?
I have calculated the resistance of coil and capacitors. This is the source: 
And here are my equations about the upper node(U1). Are they right?
Your next to last line left hand side should be: -0.02U1 + 0.1 else eqns to here ok. If final algebra follows, ok.