0

Let's consider this equivalent electrical model of a crystal:

enter image description here

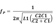
The evaluation of its series self resonance frequency is quite simple: it is sufficient to impose that the reactance of L1 is equal and opposite to that of C1, and this leads to the result:

enter image description here

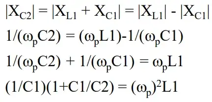
But I have some problems about determining the parallel resonance frequency. Precisely, I read this procedure:

enter image description here

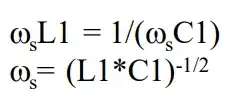
From which we get:

enter image description here

But I do not understand the equality of reactances set at this passage: enter image description here

In fact we are evaluating a parallel resonance frequency, and so we should impose that the susceptances of the two parallel elements, (L1, R1, C1) and (C2), are equal and opposite. And because of the presence of R1, the susceptance of (L1, R1, C1), i.e. its admittance's imaginary part, is not simply equal to the reciprocal of the reactance of L1 and C1.

Kinka-Byo
  • 3,450
  • 2
  • 25
  • 68

1 Answers1

1

You are thinking too deeply about this. Consider this: -

enter image description here

It has the same formulas as your question does (the parallel one re-arranged slightly, but the same) and, because the capacitance (around the loop) is now fractionally less than for the straight series capacitance scenario (because the two capacitors are in series), it has a resonance impedance peak slightly higher in frequency.

That is all that is meant by the parallel resonance - it is a high impedance state and reflects that at the terminals.

I think you are trying to impose a different meaning to resonance in your question.

Andy aka
  • 456,226
  • 28
  • 367
  • 807
  • I do not understand why we should consider Cp and Cs as if they were in series. In general I know that the definition of resonance of a parallel circuit is the condition in which the global susceptance is equal to zero, so I do not understand this kind of analysis – Kinka-Byo Jun 27 '19 at 15:29
  • Think of the crystal connected to a very high impedance measurement circuit. That measurement circuit has high enough impedance to unaffect the maths. Then consider that all you are left with is a series circuit in a loop. In fact you can modify the loop now so that there are two branches; one which has Cs and Cp in series and another branch that has R and L in series. It's the same circuit but I'm asking you to look at it in a different way. Does this help? – Andy aka Jun 27 '19 at 15:39
  • Regarding this last observation, my doubt is the fact that Cp is the parasitic capacitance between the metal plates, so it will be always in parallel to what is connected to the crystal. – Kinka-Byo Jun 27 '19 at 15:43
  • 1
    @ Andy from a now-extinct magazine "Electronics World", I recall a chart showing 5 different definitions of "resonance". Peak-voltage or peak-current may be one; zero-phase-shift could be another. – analogsystemsrf Jun 27 '19 at 15:49
  • Cp is internal but, remember that reality is a mechanical movement and we are talking an electrical model. – Andy aka Jun 27 '19 at 16:09