I have a system, its input and output has the following relationship.
I want to know the transient response of the system with respect to a ramping input Xi=t, by solving the differential equation, the response I obtained is
Xo= t-sin(t);
Now I want to obtain the transient response using another method,
i.e. first decompose the input signal into a series of sinusoidal signal
then calculate the system response of each sinusoidal signal
at last sum up all the responses of sinusoidal signal.
This method involves using FFT and inverse FFT. The detailed steps are
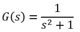
Calculate the transfer function of the system G(s). Substitute s=jw, this way I can get the complex number G(jw) with respect to each frequency w.
Process input signal using FFT to obtain the complex number with respect to each frequency component.
multiply the complex number in step 1 and 2 for the same frequencies.
using Inverse FFT to process the results obtained in step 3 to recover the signal in time domain.
I expected I could obtain the transient response using this method and the result should be same as the one I calculated by solving differential equation in time domain. But in reality, I was stuck at step 1. Because the transfer function of the system is
I found that at w=1 rad/s, this G(jw) is infinite. This means that if the input has a frequency component of 1 rad/s, going through the system (step 3), the amplitude of this frequency component will be amplified to infinite. Obviously this will lead to a transient output different from the one I got earlier.
Can anyone point out where I did wrong? If everything I did is correct, does that mean we can't obtain transient response by using this frequency analysis method?

