I am having a little trouble understanding what results from short circuiting.
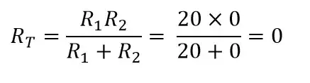
The bottom circuit is the one we are given in the question, and we are asked to obtain the Norton equivalent. The above picture is the worked solution.

I don't quite get why we can "ignore" the \$20\Omega\$ resistor, is this because the current will flow through the short circuit because it has far less resistance? This has popped up before and I don't quite get it.
