The carbon dioxide phase diagram shows that at high pressure and normal temperature CO2 becomes liquid. Since it is heavier than water, I wonder if there are lakes of liquid CO2 at the bottom of the Earth's oceans, and if no, why?

The carbon dioxide phase diagram shows that at high pressure and normal temperature CO2 becomes liquid. Since it is heavier than water, I wonder if there are lakes of liquid CO2 at the bottom of the Earth's oceans, and if no, why?

Yes, according to this paper in the Proceedings of the National Academy of Sciences. But they also say that this "lake" of liquid CO2 is covered by CO2 clathrate, so it's not quite your average brine pool.
Note about clathrates:
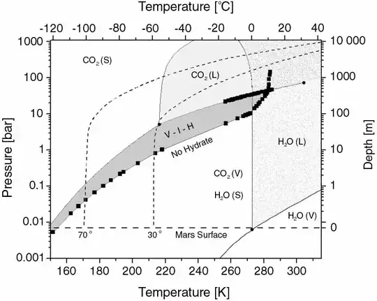
The following image is from the Wikipedia article on CO2 clathrate. It is a CO2 hydrate P-T phase diagram with experimental data (black squares) from a 1998 paper by Sloan listed in the references of the Wikipedia article.
Note the H2O phase lines drawn in. There is a relatively small habitable area for clathrate somewhere inside about 273-280 K (0-7 ºC) and 10-12 bar (or about 90-110m in ocean depth as calculated here). Above the phase boundary, the clathrate will dissolve to liquid. Below, to gas. What this diagram does not say (according to a knowledgeable colleague) is that clathrate will not readily form or remain in its semi-organized state given very slight amounts of mechanical agitation. Hence why it does not exist en masse under typical seafloor conditions.
There are several reasons why the ocean floor is not a pool of liquid $\ce{CO_2}$:
Solubility of gaseous $\ce{CO_2}$ in brine is low.
Mass transfer of gaseous $\ce{CO_2}$ from the atmosphere is slower than the time to react with water to make carbonate/bicarbonate
Carbonate/bicarbonate act as a buffer for atmospheric $\ce{CO_2}$ precipitating and dissolving as atmospheric $\ce{CO_2}$ fluctuates.
Liquid $\ce{CO_2}$ at the ocean floor must have a source of pure enough $\ce{CO_2}$ to liquefy and it must be in enough abundance, at a high enough pressure, so that it is not diluted or mixed with water or brine.
The data above shows that this has happened somewhere in the world... that is cool.