Answers will be different because they must be tied to a model of solar evolution, and all models are a bit different.
So to answer your question we have to select a model. A pretty standard and trusted one, is the one used in the paper Stellar evolution models for Z = 0.0001 to 0.03. Where Z stands for the metalicity of the star, that for the Sun they indicate would be 0.0188.
In figure 2, they show the trajectory of a star like the sun in the H-R diagram (look for the line labeled "1.0").

The data output of this model is available at the VizieR catalog. I just downloaded the data for starts of one solar mass and Z=0.02 (like the Sun), and computed the effective temperature of Earth using the formula in the linked question
$\Large \frac{T}{T_0}=\left(\frac{L}{L_0}\right)^{\frac{1}{4}}$
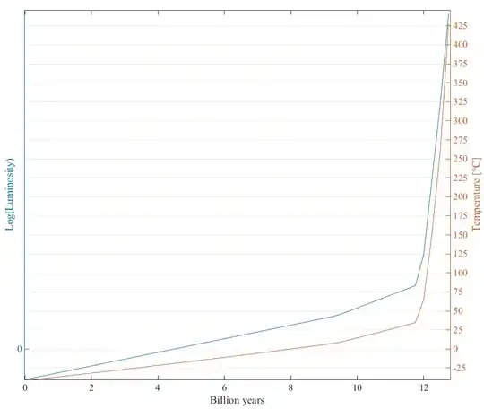
Using a current effective temperature $T_0$ of -19°C (you will find values between -18 and -21°C), we get that the plot of Luminosity and temperature versus time looks like this

And given that you are interested in specific values here is some tabulated data including also the solar radius. Note that most of these points are linear interpolations of the original data, that had only six points in this age range.
Age Radius Lumin. Temperature
[Billion [solar [Solar [°C]
years] radius] Lumin.]
0.00 0.89 0.7 -41.4
0.25 0.90 0.7 -40.2
0.50 0.91 0.7 -39.0
0.75 0.91 0.7 -37.8
1.00 0.92 0.8 -36.6
1.25 0.93 0.8 -35.4
1.50 0.94 0.8 -34.2
1.75 0.95 0.8 -32.9
2.00 0.95 0.8 -31.7
2.25 0.96 0.8 -30.4
2.50 0.97 0.8 -29.2
2.75 0.98 0.9 -27.9
3.00 0.99 0.9 -26.7
3.25 1.00 0.9 -25.4
3.50 1.00 0.9 -24.1
3.75 1.01 0.9 -22.8
4.00 1.02 1.0 -21.5
4.25 1.03 1.0 -20.2
4.50 1.04 1.0 -18.9
4.75 1.05 1.0 -17.6
5.00 1.06 1.0 -16.3
5.25 1.07 1.1 -15.0
5.50 1.08 1.1 -13.7
5.75 1.08 1.1 -12.3
6.00 1.09 1.1 -11.0
6.25 1.10 1.2 -9.6
6.50 1.11 1.2 -8.3
6.75 1.12 1.2 -6.9
7.00 1.13 1.2 -5.5
7.25 1.14 1.3 -4.1
7.50 1.15 1.3 -2.8
7.75 1.16 1.3 -1.4
8.00 1.17 1.3 0.0
8.25 1.18 1.4 1.4
8.50 1.19 1.4 2.9
8.75 1.20 1.4 4.3
9.00 1.21 1.4 5.7
9.25 1.22 1.5 7.2
9.50 1.26 1.5 9.2
9.75 1.32 1.6 11.9
10.00 1.38 1.6 14.7
10.25 1.44 1.7 17.5
10.50 1.51 1.8 20.3
10.75 1.58 1.8 23.1
11.00 1.66 1.9 25.9
11.25 1.74 2.0 28.8
11.50 1.82 2.1 31.7
11.75 1.90 2.2 34.7
12.00 2.40 3.1 65.0
12.25 4.08 7.8 151.9
12.50 6.94 19.6 261.2
12.75 11.68 57.8 427.2
Note that you can only know the effective temperature, the actual temperature will depend on the strength of the greenhouse effect, and modeling that is a whole new problem with huge uncertainties.
According to this model, the terminal age main sequence of the Sun would be 9.38 Billion years, and according to the data above, the effective temperature then would be 8.2 °C (281 K), that's 27.2 °C hotter than today.