I am unable to solve this question, 10.10 from GATE IN 2004 (a previous year question paper for an exam targeted at engineering graduates in India.)

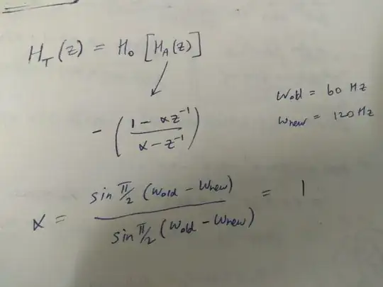
So I tried to solve the 10.10 by considering the real frequency shift transformation's general form,

I am not getting any answer close to the options! I wonder what I am doing wrong.
So 1) what is the answer to the question 10.10 shown above?
2) how is this formula for the coefficient derived?