I am making some homemade tools on Matlab. I made function that plot the frequency response of a discrete transfer function (just like freqz does). When I compare my result with the result from freqz, I get something very similar, but not exactly the same.
Can somebody see why ? I am a little confused here.
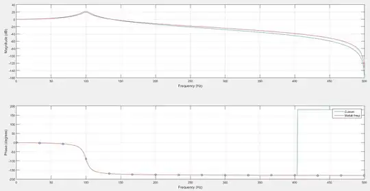
Observations
- I first thought it was related to frequency warping, but when I applied warping on my frequencies, I got a similar result.
- We also see that the phase does not wrap correctly, it passes from -179.3 to 180.7 (instead of a perfect -180 - 180);
Code
function [h,f] = py_freqz(b,a,fs,n)
%make sur both polynomials are same size
if (length(a) > length(b))
b = [b, zeros(1,max(0,length(a)-1))];
elseif (length(b) > length(a))
a = [a, zeros(1,max(0,length(b)-1))];
end
p = roots(a);
z = roots(b);
precision = fs/n;
w = linspace(0,pi-precision/2,n);
f = w/pi*fs/2;
h = ones(1,n);
phases = zeros(1,n);
unitcircle = exp(1i*w);
%Zeros
for k=1:length(z)
v = unitcircle-z(k);
h = h .* abs(v);
phases = phases + angle(v);
end
%Poles
for k=1:length(p)
v = unitcircle-p(k);
h = h ./ abs(v);
phases = phases - angle(v);
end
h = h * b(1); % Input Gain
subplot(2,1,1);
xlabel('Frequency [Hz]');
ylabel('Magnitude');
plot(f,10*log(h));
grid on
subplot(2,1,2);
xlabel('Frequency [Hz]');
ylabel('Phase');
plot(f,phases/pi*180);
grid on
end
I generated the above graph using
py_freqz([0.09247185865855016 2*0.09247185865855016 0.09247185865855016 ], [1 -1.5668683171334845 0.9367557517676852], 1000,1000);

