I know this is maybe a very basic question but I am doing this as a hobby and I can't find a solution to this problem. Basically I am trying to remove some noise from data I am reading from an accelerometer. This is what I want to achieve (Taken from Total Variation Denoising (An MM algorithm)):

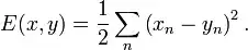
I read in Picking the correct filter for accelerometer data that Total Variaton Denoising would fit my needs. So I read Wikipedia - Total Variation Denoising article from Wikipedia and I think I have to use one of this equations:


But I don't understand how I apply this to my signal. Suppose I have a set of x,y points like in the plots above, how I apply the equation to that data? I implemented some simple low-pass and high-pass filters like this:
gravity[0] = alpha * gravity[0] + (1 - alpha) * event.values[0];
But this is maybe too complex and I don't know where to start or how. I want to implement this in Java or C so Matlab is not an option (I have seen a lot of MatLab implementing this). I will appreciate any help to guide me in the right direction!

