Recently we had this challenge in our Organic Chemistry Department. I was not involved in it but I thought it might be interesting for the SE Chemistry site, so here it is.
Propose a structure for C20H18 with the longest IUPAC name. Following rules apply:
- Names must be generated with MarvinSketch: Structure>Generate Name…>Preferred IUPAC Name (https://www.chemaxon.com/products/marvin).
- No isotopic markings can be used.
- The structures must be possible (no cycles with too much unsaturations nor systems with impossible tension).
- All the characters will be counted: numbers, letters, points, colons, dashes, everything.
- Longest name wins.
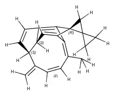
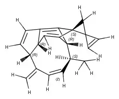
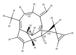
Here is the example that was given:
and the name provided by MarvinSketch:
(1'R,4'Z,6'Z,8'Z,10'Z,12'S,15'R,16'R,17'R)-spiro[cyclopropane-1,18'-tetracyclo[13.2.1.04,17.012,16]octadecane]-2,2',4',6',8',10',13'-heptaene
141 characters
Good luck and prosperous year 2018!
EDIT
Well, what is a challenge without a prize? So, I have set a bounty worth +50 reputation for the longest name. Sorry, I can not spend much more on it. Remember that you can post more than one structure. If you have proposed one and after some days you find a structure with a longer name, you can post it too.



![(2aR,4aR,4bS,6aS,8aR,8bS)-1,2,7,8-Tetramethyl-2a,4a,4b,6a-tetrahydrocyclobuta[a]cyclobuta[2',3']cyclopenta[1',2':3,4]cyclobuta[1,2-b]cyclopentene](../../images/4adb040cc42803dddd2f70eedf17fd6e.webp)








<sub>does do its job quite well. I'd prefer the MathJax font would not look different to the text font, then I would. – mhchem Dec 24 '17 at 20:05