2

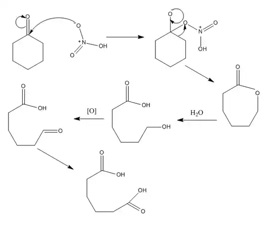
Can I get some help in figuring out the mechanism for this reaction. Adipic acid is a molecule with two carboxylic groups,but I can't see how that happens. My initial thoughts involved that the carbonyl group in cyclohexanone is protonated,but I couldn't get any further as I couldn't figure out what would happen after that. enter image description here

Daenys Targaryen
  • 656
  • 1
  • 6
  • 19
  • 2
    Are you sure you want to use cyclohexanone $\ce{ C6H10O}$, not cyclohexanol $\ce{C6H11OH}$ for this reaction? This huge picture must carry a subliminal message, but I'm asking just to be 100% sure we are on the same page. – andselisk Jul 05 '17 at 11:10
  • I am sure I want to use cyclohexanone, but does it really matter because cyclohexanone can be converted into cyclohexanol. – Daenys Targaryen Jul 05 '17 at 12:05
  • 1
    From what I remember at industrial scale cyclohexanone and cyclohexanol mixture is rectified, and cyclohexanone is used in the production of caprolactam, whereas cyclohexanol is utilized for the synthesis of adipic acid by oxidation. BTW, you need a catalyst ($\ce{NH4VO3}$) with 50% $\ce{HNO3}$ for that. – andselisk Jul 05 '17 at 12:12
  • https://chemistry.stackexchange.com/questions/4416/oxidation-of-ketones – Mithoron Jul 05 '17 at 15:25

1 Answers1

1

It think this reaction goes via following mechanism. enter image description here