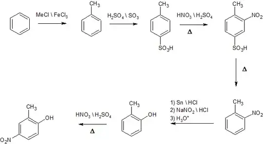
Benzene first reacts with the reagents $\ce{CH3Cl/AlCl3}$, to attach a methyl ($\ce{CH3}$) group to the benzene ring.
Then I suggested reacting with $\ce{OH-}$. Because the methyl group is an activator, it will cause the $\ce{OH-}$ electrophile to attack either in the para or ortho positions. In this case I suggest it will attack the ortho position. Now we have two activators, hydroxyl and methyl, but because hydroxyl is a stronger activator, the position where the next molecule attacks will be controlled by the hydroxyl group.
The next electrophile that attacks is the $\ce{NO2+}$, through the reaction $\ce{HNO3/H2SO4}$, the nitro group will attack the para position of the benzene and we get our final product 2-methyl-4-nitrophenol.
However, I am not 100% sure if the methyl group should be introduced first to form toluene or the hydroxyl group to form a phenol.
