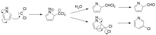
This reaction looks like the Riemer-Tiemann reaction. The only difference is the reactant. First step is the formation of carbene. Second step involves the attack of π-electrons of furan on the vacant orbital of carbene which results in two possible type of products:
The answer given is of type (B) (That is, dichlorocarbene is attached like product B). But both results in the same position of carbocations. Aren't both products produced in equal quantity?
Also, in the case of pyrrole, the opposite happens. That is, the major products are:



