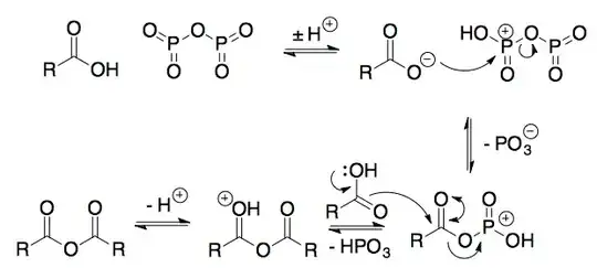
Dehydration of carboxylic acids with phosphorus pentoxide ($\ce{P2O5}$) yields acid anhydrides, and in a similar reaction, amides dehydrated with phosphorus pentoxide yield cyanides. Can an arrow pushing mechanism be given for these reactions? If there isn't a mechanism, what, at least, gives phosphorus pentoxide the ability to dehydrate carboxylic acids and amides?
Phosphorus pentoxide itself reacts with water molecules to form phosphoric acid. That enables it to remove free water molecules by a simple hydrolysis reaction, but here of course there must be some other electron movement since the water being removed is not free water.
