3

Cyclohexane

In the chair conformation of cyclohexane, what are the angles of the triangles defined by:

  1. a carbon atom, an axial hydrogen bonded to it, and the midpoint of a vicinal C-C bond ?
  2. a carbon atom, an equatorial hydrogen bonded to it, and the midpoint of a vicinal C-C bond ?

I have unsuccessfully looked for literature values of these, and my trigonometry is not up to scratch.

Martin - マーチン
  • 44,013
  • 13
  • 159
  • 319
J. LS
  • 2,570
  • 1
  • 20
  • 47

2 Answers2

3

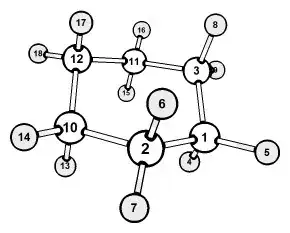
The crystal structure shows a strangely distorted molecule with only $C_\mathrm{i}$ symmetry. Values have quite a wide range, $\angle(\ce{CCH})\approx 100-120^\circ$. See below for all values and xyz coordinates to read in with a molecular viewer. Source: R. Kahn, R. Fourme, D. André and M. Renaud, Acta Cryst. 1973, B29, 131-138.

A DF-BP86/def2-TZVPP calculation (gas phase, 0 K) gives a highl $D_\mathrm{3d}$ symmetric structure with \begin{array}{ll} \angle(\ce{CCH_{ax}}) & =109.1^\circ,\\ \angle(\ce{CCH_{eq}}) & =110.3^\circ,\\ \angle(\ce{CCC}) &=111.5^\circ,\\ \angle(\ce{H_{eq}CH_{ax}}) &=106.4^\circ.\\ \end{array} Also Bond length differ very slightly (and impossibly to determine at room temperature and pressure), with \begin{array}{ll} \mathbf{d}(\ce{CC}) &=1.537~\mathrm{\mathring{A}},\\ \mathbf{d}(\ce{CH_{ax}}) &=1.105~\mathrm{\mathring{A}},\\ \mathbf{d}(\ce{CH_{eq}}) &=1.103~\mathrm{\mathring{A}}.\\ \end{array} The tiny differences can be explained with Bent's rule.
In principle the assignment Goeff already gave you is absolutely valid, especially if you take the dynamic nature of the molecules into account that they have at standard temperature and pressure.
Also see xyz coordinates for visualisation below.


Appendix

Crystal structure
molecular structure of cyhex \begin{array}{lr} R(1-2) &1.528 \\ R(1-3) &1.519 \\ R(1-4) &0.884 \\ R(1-5) &1.146 \\ R(2-6) &1.055 \\ R(2-7) &0.929 \\ R(2-10) &1.521 \\ R(3-8) &1.100 \\ R(3-9) &0.944 \\ R(3-11) &1.521 \\ R(10-12) &1.519 \\ R(10-13) &1.100 \\ R(10-14) &0.944 \\ R(11-12) &1.528 \\ R(11-15) &1.055 \\ R(11-16) &0.929 \\ R(12-17) &0.884 \\ R(12-18) &1.146 \\ A(2-1-3) &110.4 \\ A(2-1-4) &106.7 \\ A(2-5) &105.8 \\ A(1-2-6) &106.6 \\ A(1-2-7) &118.2 \\ A(1-2-10) &111.3 \\ A(3-1-4) &103.0 \\ A(3-1-5) &114.0 \\ A(1-3-8) &110.6 \\ A(1-3-9) &116.9 \\ A(1-3-11) &112.4 \\ A(4-1-5) &116.7 \\ A(6-2-7) &109.5 \\ A(6-2-10) &110.6 \\ A(7-2-10) &100.5 \\ A(2-10-12) &112.4 \\ A(2-10-13) &109.1 \\ A(2-10-14) &100.4 \\ A(8-3-9) &106.9 \\ A(8-3-11) &109.1 \\ A(9-3-11) &100.4 \\ A(3-11-12) &111.3 \\ A(3-11-15) &110.6 \\ A(3-11-16) &100.5 \\ A(12-10-13) &110.6 \\ A(12-10-14) &116.9 \\ A(10-12-11) &110.4 \\ A(10-12-17) &103.0 \\ A(10-12-18) &114.0 \\ A(13-10-14) &106.9 \\ A(12-11-15) &106.6 \\ A(12-11-16) &118.2 \\ A(11-12-17) &106.7 \\ A(11-12-18) &105.8 \\ A(15-11-16) &109.5 \\ A(17-12-18) &116.7 \\ \end{array}

C        2.329589000      3.011988000     -0.044238000
C        3.630888000      2.632672000      0.661249000
C        1.367908000      1.836044000     -0.049671000
H        2.524936000      3.113740000     -0.900292000
H        1.933922000      3.936128000      0.506802000
H        3.388552000      2.469096000      1.674854000
H        4.348450000      3.220000000      0.605369000
H        1.030575000      1.607424000      0.972471000
H        0.592407000      1.921052000     -0.581309000
C        4.247092000      1.383956000      0.049671000
C        1.984112000      0.587328000     -0.661249000
C        3.285411000      0.208012000      0.044238000
H        4.584425000      1.612576000     -0.972471000
H        5.022593000      1.298948000      0.581309000
H        2.226448000      0.750904000     -1.674854000
H        1.266550000     -0.000000000     -0.605369000
H        3.090064000      0.106260000      0.900292000
H        3.681078000     -0.716128000     -0.506802000

Computed (DF-BP86/def2-TZVPP)
enter image description here

C       -1.270112000     -0.733300000      0.229506000
C        0.000000000     -1.466599000     -0.229506000
C       -1.270112000      0.733300000     -0.229506000
H       -1.328386000     -0.766944000      1.332131000
H       -2.167276000     -1.251277000     -0.145050000
H        0.000000000     -1.533888000     -1.332131000
H        0.000000000     -2.502555000      0.145050000
H       -1.328386000      0.766944000     -1.332131000
H       -2.167276000      1.251277000      0.145050000
C        1.270112000     -0.733300000      0.229506000
C        0.000000000      1.466599000      0.229506000
C        1.270112000      0.733300000     -0.229506000
H        1.328386000     -0.766944000      1.332131000
H        2.167276000     -1.251277000     -0.145050000
H        0.000000000      1.533888000      1.332131000
H        0.000000000      2.502555000     -0.145050000
H        1.328386000      0.766944000     -1.332131000
H        2.167276000      1.251277000      0.145050000
Martin - マーチン
  • 44,013
  • 13
  • 159
  • 319
2

In the chair form of cyclohexane, the carbon atoms and the bonds around them are almost perfectly tetrahedral.

So the C-C-H angles will be almost exactly 109.5 degrees. (Note that while you defined the bond midpoint, the angle will be the same regardless of whether it's the midpoint of the bond or the neighboring carbon atom itself.)

Geoff Hutchison
  • 27,740
  • 3
  • 79
  • 145
  • So the angle between the C-H bond and the C-C bond is 109.5 degrees in both case, and I can derive the other sides/angles with sine/cosine rules ? – J. LS Jan 08 '15 at 17:20
  • Personally, I'd suggest downloading http://avogadro.cc Build-->Insert->Insert Fragment, then find "cyclic alkanes" and "cyclohexane chair" and switch to the ruler/measure tool to get the angles you want. – Geoff Hutchison Jan 08 '15 at 17:33