I am solving the example from the book [Essentials of Chemical Reaction Engineering, Chapter 3, P3-12B] and finding out a contradictive point.
"The rate law for the A->B reaction was obtained at low temperatures. The reaction is highly exothermic and, therefore, reversible at high temperatures. Suggest a rate law for the reaction at high temperature."
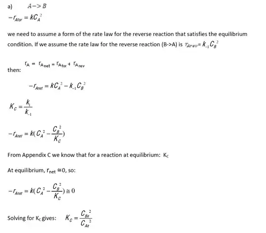
The reaction A->B is irreversible at low temperatures and the rate law is $-r_A=k C_A^2$
The answer given in the book is:
However, if I look back at the definition of the equilibrium constant
The answer should be $K_c=\frac{C_B}{C_A}$.
If I use the irreversible rxn to derive the answer, it will be $K_c=\frac{C_B^2}{C_A^2}$
I am confused by two different answers.

