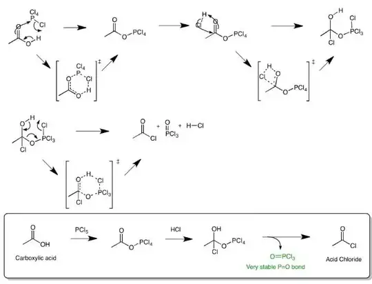
I was searching for reaction of $\ce{PCl5}$ with carboxylic acids and found this mechanism:

Here a corresponding acyl chloride is formed from a carboxylic acid.
Now I doubt if this is the final product as this acyl chloride's carbonyl group should also react further with $\ce{PCl5}$ just like it happens in Aldehydes and ketones.
So I searched for reaction of acyl halides with $\ce{PCl5}$ and I can't find any results showing the mechanism or even discussing what can be the product.
I believe that further reaction should happen on the carbonyl group of the acyl halide forming gem-dichloride replacing the double bonded Oxygen.
This direct replacement can't occur on the carbonyl group of the carboxylic acid as it's -OH group also have involvement (working as acid and releases H+ which changes the dynamics of the reaction) in the reaction while halide group of acid halides don't interfere that much and so acyl halides should react like aldehydes or ketones with $\ce{PCl5}$ as discussed in this answer by following mechanism:

So With all things looking perfectly fine then why don't this reaction occurs? What are those factors preventing this reaction?