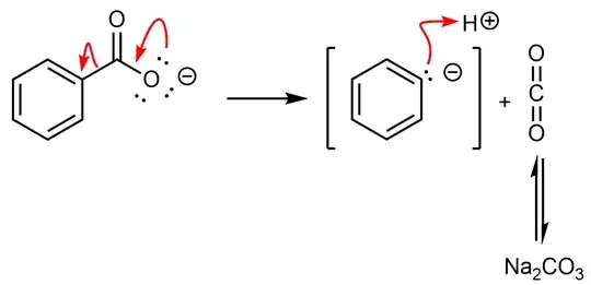
Decarboxylations tend to follow the mechanistic path I've drawn below. You're right in that this is a bold transformation--partly this is driven by the high heating. Decarboxylations are also driven by entropic and enthalpic forces.

Entropically, you are starting with one compounded (sodium benzoate) and producing two (phenyl carbanion and CO2 gas). Entropy is frequently described as "disorder" which you can quantify as how many microstates are possible. If you have a loaf of bread and a four-shelf book case, you can put in on the first, second, third or fourth shelf. If you tear the loaf of bread in half, you can for example, put one loaf half in the third shelf and the other loaf in the first shelf—you can see there is many more combinations of options or "microstates". Replace "bread" with molecules and "book shelf" with energy level and you have entropy. Breaking the molecule in two increases entropy, especially because the CO2 is a gas, which has more entropy than a solid.
Enthalpic means, put simply, how strong the bonds are. While you do raise legitimate enthalpic concerns, this will be offset in part by the strong double bond you form making CO2 gas (a double bond is stronger than a single bond). If you make more strong bonds than you break, this is enthalpically favoured.
CO2 becomes NaCO3H and Na2CO3 readily. In fact this happens in your blood and is why people used to recommend breathing into a brown bag—increase the CO2 concentration which pushes towards NaCO3H. On that same point, decarboxylations are also an extremely common reaction in the body, albeit not with sodium benzoate.
Finally, the proposed reaction proceeds through phenyl carbanion (all other proposed mechanisms involve the same), though the mechanism may be concerted. This is a bit strange, but I'll just reference one or two previous posts on this species and point out that the aromaticity is not disturbed, as shown in the second figure. Typically you may see phenyl carbanions stabilised as lithiated species (i.e., using extremely strong organolithium bases to generate), which I think points to why such extreme heating was required by NileRed. Also, knowing his channel is sort of "garage chemistry", heating is much accessible than unusual reagents.
